Welcome to Journal of Beijing University of Chemical Technology, Today is
Email Alert  RSS
Management and Mathematics

The influence of a magnetic field on the Raman scattering of electron⁃doped cuprate superconductors

  • BaoYu TAN ,
  • ZhiHao GENG
Expand
  • College of Mathematics and Physics,Beijing University of Chemical Technology,Beijing 100029,China

Received date: 2024-11-26

  Online published: 2026-02-28

Abstract

Cuprate superconductors have wide application prospects and rich physical mechanisms, attracting extensive research. However, exploring the microscopic mechanism of high-temperature superconductivity is challenging. To understand how magnetic field-induced spin fluctuations affect high-temperature superconductivity, we have investigated the Raman scattering spectra of electron-doped cuprates under external magnetic fields based on the t-t´-J model. In order to discuss the effects of different dopant concentrations and different temperatures, we calculated the Raman scattering spectra at dopant concentrations of 0.17 and 0.165 and temperatures of 0.002 J and 0.007 J. Our calculations show that with the increase of the external magnetic field, the peak intensities of B1g and B2g decrease significantly at different dopant concentrations and temperatures and the peak positions shift slightly to the left. This indicates that the superconducting energy gap decreases with increasing external magnetic field. In addition, the higher the temperature, the slower the rate at which the peak intensity decreases with increasing magnetic field. Our calculation results are qualitatively consistent with experiments, and provide a theoretical explanation for the Raman scattering spectra of electron-doped copper oxide superconductors under an external magnetic field.

Cite this article

BaoYu TAN , ZhiHao GENG . The influence of a magnetic field on the Raman scattering of electron⁃doped cuprate superconductors[J]. Journal of Beijing University of Chemical Technology, 2026 , 53(1) : 140 -145 . DOI: 10.13543/j.bhxbzr.2026.01.013

引言

铜氧化物超导体是高温超导体家族中的重要成员,由于其较高的超导转变温度和复杂的物理特性,引起了学者们广泛的研究兴趣1。自1986年铜氧化物超导体的发现以来,因其不同于传统超导体的机制而成为凝聚态物理领域的前沿课题。电子掺杂铜氧化物超导体是其中一类特殊的铜氧化物超导体,是通过掺入某些元素,向系统中引入额外的电子,这些电子作为自由载流子参与导电和超导2。一般认为,铜氧化物超导体的母体材料是具有反铁磁序的Mott绝缘体,决定其性质的关键结构是其中存在的CuO2平面3。将电子或空穴掺杂到Mott绝缘体中,当掺杂浓度过高时,杂质原子不可避免地进入CuO2层,破坏其反铁磁长程序,导致反铁磁相消失4。但电子-空穴对称只是近似存在,实验结果表明:超导相图中存在很强的电子-空穴不对称性5-6
拉曼散射是一种强有力的工具,可用于研究材料的电子、声子和自旋激发。对于超导体,尤其是铜氧化物超导体,拉曼散射能够提供有关其能隙结构的重要信息。在不同温度、磁场等条件下,拉曼散射谱的变化可以揭示超导态的微观机制。因此,研究温度和磁场对拉曼散射的影响有助于更深入地理解电子掺杂铜氧化物超导体的特性7。实验结果发现,电子掺杂铜氧化物超导体拉曼散射光谱中有一个超导配对峰,反映了电子库珀对的断裂8-10。实验观察还发现,当磁场增强时,超导能隙的激发受到抑制,导致其超导性降低11。此外,磁场引起的自旋涨落在高温超导体的超导性中起着至关重要的作用,是理解磁场下电子拉曼散射的关键因素12-13
虽然常规超导理论和其他一些微观模型可以部分地描述上述行为14,研究者也基于单调d波间隙的BCS理论等微观模型,对空穴掺杂铜氧化物超导体的电子拉曼散射进行了大量的研究15-24,但目前对电子掺杂铜氧化物超导体拉曼散射在不同磁场和温度下演化行为的理论研究很少25。本文提供了一种理论方法对此进行了研究,并获得了与实验定性一致的结果,有助于揭示铜氧化物超导体奇特性质的微观机理。

1 理论框架

研究者普遍认为,铜氧化物超导体的行为可以用正方形晶格上的t-t’-J模型来描述26。在之前的研究中,研究者基于t-J模型研究了空穴掺杂铜氧化物超导体的拉曼散射谱及其在磁场下的演化行为27-29。研究表明,空穴掺杂氧化铜超导体拉曼散射谱中B1g通道的响应是立方的,而B2g通道的响应是线性的。但电子掺杂铜氧化物超导体的拉曼散射谱与此不完全相同,B1g通道的响应与三次方响应相差不大,但B2g通道的响应与线性响应相差甚远18。这种偏差的解释与电子掺杂的铜氧化物超导体的非单调d波间隙有关。
在文献[28]中,研究了无外磁场时电子掺杂铜氧化物超导体的拉曼散射谱,在有外加磁场的情形下,需要增加一个塞曼项,此时描述电子掺杂的哈密顿量可以写为下式的形式。
           H = - t i η σ f i σ f i + η σ + t ' i τ σ f i σ f i + τ σ + μ i σ f i σ f i σ + J i η S i S i + η - ε B i σ σ f i σ f i σ
其中, t t '分别为最近邻跃迁能和次近邻跃迁能(以下相关变量均以J为相对单位), J是反铁磁交换能, η = ± x ^ , ± y ^ τ = ± x ^ ± y ^ S i = ( S i x , S i y , S i z )是自旋算符, f i σ ( f i σ )是满足局域约束条件 σ f i σ f i σ 1的空穴产生(湮灭)算符, μ是化学势, ε B = g μ B B是塞曼磁能,其中 g是朗德因子, μ B是玻尔磁子, B是外磁场强度。
在之前的研究中,基于自旋与电荷相分离的费米子自旋型slave⁃boson理论很好地处理了局域约束条件,并成功地解释了铜氧化物超导体拉曼散射谱的一些典型特征。现在延续这一理论,将空穴算符分解为 f i = a i S i - f i = a i S i +,其中费米子算符代表电荷自由度,自旋算符代表自旋自由度,满足泡利代数。在这个表象下,t-J模型可以进一步表示为
           H = t i η ( a i + η a i S i + S i + η - + a i + η a i S i - S i + η + ) - t ' i τ ( a i + τ a i S i + S i + τ - + a i + τ a i S i - S i + τ + ) - μ i σ a i σ a i σ + J e f f i η S i S i + η - 2 ε B i S i z
其中, J e f f = ( 1 - δ ) 2 J δ = < a i σ a i σ >代表掺杂浓度。
通过定义平均场序参量 φ 1 = < a i + η σ a i σ > φ 2 = < a i + τ σ a i σ > χ 1 = < S i + S i + η - > χ 2 = < S i + S i + τ - > χ 1 z = < S i z S i + η z > χ 2 z = < S i z S i + τ z >,并通过海森堡方程,首先可以得到平均场下的自旋格林函数 < < S i + ( τ ) ; S j - ( τ ' ) > > < < S i z ( τ ) ; S j z ( τ ' ) > >以及电荷格林函数 < < a i σ ( τ ) ; a j σ ( τ ' ) > >,其在动量表象下的形式分别为
D ( 0 ) ( k , ω ) = 1 2 ν = 1,2 B k ω ν ( k ) 1 ω - ω ν ( k )
D z ( 0 ) ( k , ω ) = 1 2 ν = 1,2 B z ( k ) ω ν z ( k ) 1 ω - ω ν z ( k )
g ( 0 ) ( k , ω ) = 1 ω - ξ k
其中, ω 1 ( k ) = ω k ω 2 ( k ) = - ω k B k B z ( k )是谱函数的系数函数, ω k是平均场自旋谱函数, ξ k是平均场电子谱函数。经推导发现,外加磁场时电子与自旋格林函数的谱函数及其各参数的表达式大多数与之前研究不加磁场时的表达式形式相同,详见文献[18]。唯一的不同参数是外磁场下 ω k的形式变为 ω k = ω 0 k 2 + 4 B 2 ,其中, ω 0 k 是没有外磁场时的平均场自旋谱函数。再运用格林函数运动方程的方法,进一步得到非平均场下的电子对角和非对角格林函数。
g ( k , ω ) = Z F ν = 1,2 U ν 2 ( k ) 1 ω - E ν ( k )
+ ( k , ω ) = - Z F 2 ν = 1,2 Δ ¯ ( k ) E ν ( k ) 1 ω - E ν ( k )
其中, E 1 ( k ) = E k E 2 ( k ) = - E k U 1 2 ( k ) = 1 2 1 + ξ ¯ k E k U 2 2 ( k ) = 1 2 1 - ξ ¯ k E k E k = ξ ¯ k 2 + Δ ¯ 2 ( k ) 是准粒子谱函数。其中, ξ ¯ k = Z F ξ k Z F是谱权重, Δ ¯ ( k ) = Z F Δ ( k )是电子有效能隙函数。以上变量表达式中参数的取值由自洽方程决定,自洽方程中除 ω k的表达式发生改变之外,基本形式与未加磁场的情形相同,见文献[18]。随着掺杂浓度、温度或外磁场的改变,由自洽方程计算出的参数的取值也会随之发生变化。
在自旋与电荷相分离的表象下,电子的对角和非对角格林函数为 C i σ ( t ) ; C j σ ( t ' ) C i ( t ) ; C j ( t ' ) ,可以表示为上面电荷的对角和非对角格林函数与平均场自旋格林函数的卷积,最终形式为下式。
           G ( k , ω ) = Z F 2 N p ν , μ = 1,2 B p ω μ ( p ) U ν 2 ( p + k ) n F [ E ν ( p + k ) ] + n B [ ω μ ( p ) ] ω + E ν ( p + k ) - ω μ ( p )
           Γ + ( k , ω ) = - Z F 4 N p ν , μ = 1,2 ¯ ( p + k ) E ν ( p + k ) B p ω μ ( p ) n F [ E ν ( p + k ) ] + n B [ ω μ ( p ) ] ω + E ν ( p + k ) - ω μ ( p )
电子的拉曼散射谱最终可由下式计算得到
R ˜ ( q , ω ) = - 1 π [ 1 + n B ( ω ) ] I m χ ˜ ( q , ω )
其中, χ ˜ ( q , τ - τ ' ) = - < T ρ γ ( q , τ ) ρ γ ( - q , τ ' ) >是密度-密度关联函数, n B ( ω )是波色分布函数,电荷密度函数的定义为
ρ γ ( q ) = k σ γ k C k + q / 2 σ + C k - q / 2 σ
其中, γ k是入射光和散射光极化矢量决定的顶角函数。上述理论使得在磁场作用下电子拉曼响应的演化能够被计算。虽然不同材料的tJ值不同,但为了获得定性理解,本研究选择t/J = - 2.5和t/t ' = 0.3。J的合理估计值大约为0.1 eV1626

2 计算结果

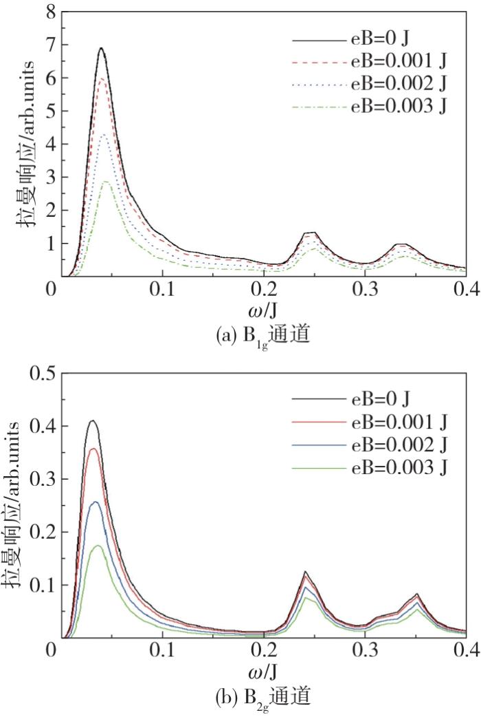
根据前面讨论的结果,我们计算了在掺杂浓度 δ = 0.17,温度T = 0.002 J时,磁场B=0 J、B=0.001 J、B = 0.002 J、B = 0.003 J时,B1g和B2g通道上的电子拉曼散射谱,如图1所示。
图1 B1g和B2g通道的电子拉曼散射谱随磁场的演化

Fig.1 Evolution of electronic Raman scattering spectra with magnetic field for B1g and B2g channels for dopant concentration δ=0.17 and temperature T=0.002 J (δ=0.17,T=0.002 J)

图1可以看出,无论是B1g通道还是B2g通道的拉曼散射谱在低频区域都呈现出一个明显的双粒子峰,且峰值随着外磁场的增加而受到磁场的压制。这与进行自洽方程计算时,当外加磁场B增大,超导序参量∆会随之减小是一致的,反映了外磁场对超导能隙的压制。同时与空穴掺杂情况相比19,此时电子掺杂的拉曼散射谱只需要施加相对较小的外磁场,拉曼散射谱就会出现明显的压制,这与电子掺杂的超导序参量∆比空穴掺杂的超导序参量∆小得多也是一致的。而更高频区域的弱峰,则或许与塞曼效应有关。
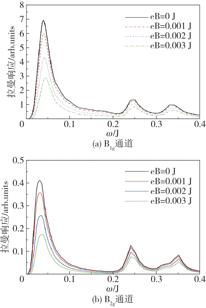
为了考察不同掺杂浓度下的情况,我们还计算了掺杂浓度 δ = 0.165T = 0.002 J,B = 0 J、B = 0.001 J、B = 0.002 J、B = 0.003 J时,B1g和B2g通道上的电子拉曼散射谱,如图2所示。不难发现,在不同掺杂浓度下,电子拉曼散射谱都会受到外磁场的压制,峰值降低,行为是相同的。
图2 B1g和B2g通道的电子拉曼散射谱随磁场的演化

Fig.2 Evolution of electronic Raman scattering spectra with magnetic field for B1g and B2g channels for dopant concentration δ=0.165 and temperature T=0.002 J (δ=0.165,T=0.002 J)

为了研究不同温度对外加磁场时电子拉曼散射谱的影响,我们将温度上升到0.007 J,并进一步在不同掺杂浓度下的情况计算了电子拉曼散射谱,如图3图4所示。
图3 B1g和B2g通道的电子拉曼散射谱随磁场的演化

Fig.3 Evolution of electronic Raman scattering spectra with magnetic field for B1g and B2g channels for dopant concentration δ=0.17 and temperature T=0.007 J (δ=0.17,T=0.007 J)

图4 B1g和B2g通道的电子拉曼散射谱随磁场的演化

Fig.4 Evolution of electronic Raman scattering spectra with magnetic field for B1g and B2g channels for dopant concentration δ=0.165 and temperature T=0.007 J (δ=0.165,T=0.007 J)

图3是掺杂浓度 δ = 0.17,温度T = 0.007 J时B1g和B2g的电子拉曼散射谱,外加磁场分别为B = 0 J、B = 0.001 J、B = 0.002 J、B = 0.003 J。图4是掺杂浓度 δ = 0.165,温度T = 0.007 J时B1g和B2g的电子拉曼散射谱,外加磁场分别为B = 0 J、B = 0.001 J、B = 0.002 J、B = 0.003 J。
计算结果显示,在不同温度下外磁场仍然会对电子的拉曼散射谱产生压制作用。即便在升高温度的情况下,施加并升高外磁场,电子拉曼散射显示的超导配对峰峰值依然会出现明显的降低。
对比不同温度下的计算结果可以发现,在不同温度下,电子拉曼散射谱同样显示出受磁场压制的特征。
综合上述结果可以发现外磁场下电子掺杂铜氧化物超导体电子拉曼散射谱的3个特征:(1)电子拉曼散射谱的超导配对峰受磁场增加时的压制情况并不是匀速的,磁场越高超导配对峰的下降有加速的趋势;(2)在外磁场等其他参数相同的情况下,温度越高,对应的超导配对峰越低,但温度越高时,外磁场的升高对配对峰的抑制效果却越弱,这体现了温度与磁场对拉曼散射的影响存在着复杂的耦合关系;(3)在过掺杂状态下,随着外磁场B的增加,配对峰强度迅速降低,但峰值位置仅轻微向左移动,显示了超导序参量∆的轻微减小。这些理论计算结果与实验结果是定性一致的。

3 结论

本文基于t-t’-J模型研究了电子掺杂铜氧化物超导体在磁场作用下的电子拉曼响应以及温度对它们的影响。理论计算结果显示,随着磁场的增大,B1g和B2g通道的峰值强度减小,峰值位置向左移动,这表明超导序参量∆随磁场的增大而减小。另外,温度增加时磁场对配对峰的抑制会减弱,显示出外磁场和温度对配对峰的影响存在着复杂的耦合关系。理论计算结果与实验定性一致,提供了一种电子掺杂铜氧化物超导体拉曼散射谱随外磁场演化行为的理论解释,对理解铜氧化物超导体高温超导性的深层机制具有一定的启发意义。
[1]
BEDNORZ J G MULLER K A. Possible high Tc superconductivity in the Ba-La-Cu-O system[J]. Zeitschrift für Physik B Condensed Matter198664(2): 189-193.

[2]
ZAANEN J SAWATZKY G A ALLEN J W. Band gaps and electronic structure of transition⁃metal compounds[J]. Physical Review Letters198555(4): 418.

[3]
TOKURA Y TAKAGI H UCHIDA S. A superconducting copper oxide compound with electrons as the charge carriers[J]. Nature1989337(6205): 345-347.

[4]
HU C ZHAO J GAO Q, et al. Momentum⁃resolved visualization of electronic evolution in doping a Mott insulator[J]. Nature Communications202112(1): 1356.

[5]
LEE W S LEE J J NOWADNICK E A, et al. Asymmetry of collective excitations in electron⁃and hole⁃doped cuprate superconductors[J]. Nature Physics201410(11): 883-889.

[6]
NAG A, ZHU M BEJAS M, et al. Detection of acoustic plasmons in hole⁃doped lanthanum and bismuth cuprate superconductors using resonant inelastic X⁃ray scattering[J]. Physical Review Letters2020125(25): 257002.

[7]
DEVEREAUX T P HACKL R. Inelastic light scattering from correlated electrons[J]. Reviews of Modern Physics200779(1): 175-233.

[8]
SACUTO A GALLAIS Y CAZAYOUS M, et al. New insights into the phase diagram of the copper oxide superconductors from electronic Raman scattering[J]. Reports on Progress in Physics201376(2): 022502.

[9]
HE G LI D JOST D, et al. Raman study of cooper pairing instabilities in (Li1-xFex) OHFeSe[J]. Physical Review Letters2020125(21): 217002.

[10]
KNAP M BABADI M REFAEL G, et al. Dynamical cooper pairing in nonequilibrium electron⁃phonon systems[J]. Physical Review B201694(21): 214504.

[11]
TANG G BRUDER C BELZIG W. Magnetic field⁃induced “mirage” gap in an ising superconductor[J]. Physical Review Letters2021126(23): 237001.

[12]
LESTER C RAMOS S PERRY R S, et al. Magnetic⁃field⁃controlled spin fluctuations and quantum criticality in Sr3Ru2O7 [J]. Nature Communications202112(1): 5798.

[13]
XING J SANGJEEWA L D KIM J, et al. Field⁃induced magnetic transition and spin fluctuations in the quantum spin⁃liquid candidate CsYbSe2 [J]. Physical Review B2019100(22): 220407.

[14]
LEBLANC J P F CARBOTTE J P NICOL E J. Signatures of Fermi surface reconstruction in Raman spectra of underdoped cuprates[J]. Physical Review B201081(6): 064504.

[15]
CHUBUKOV A V DEVEREAUX T P KLEIN M V. Resonance mode in B1g Raman scattering: a way to distinguish between spin⁃fluctuation and phonon⁃mediated d⁃wave superconductivity[J]. Physical Review B200673(9): 094512.

[16]
PAVARINI E DASGUPTA I SAHA⁃DASGUPTA T, et al. Band⁃structure trend in hole⁃doped cuprates and correlation with Tc max[J]. Physical Review Letters200187(4): 047003.

[17]
BLIMBERG G KOITZSCH A GOZAR A, et al. Nonmonotonic d x 2- y 2 superconducting order parameter in Nd2- x Ce x CuO4 [J]. Physical Review Letters200288(10): 107002.

[18]
MATSUI H TERASHIMA K SATO T, et al. Direct observation of a nonmonotonic d x 2- y 2⁃wave superconducting gap in the electron⁃doped high⁃Tc superconductor Pr0.89LaCe0.11CuO4 [J]. Physical Review Letters200595(1): 017003.

[19]
CHENG L FENG S P. Doping and energy evolution of spin dynamics in the electron⁃doped cuprate superconductor Pr0.88LaCe0.12CuO4-δ [J]. Physical Review B200877(5): 054518.

[20]
CHENG L GUO H M FENG S P. Electronic structure of the electron⁃doped cuprate superconductors[J]. Physics Letters A2007366(1-2): 137-144.

[21]
FENG S P GUO H M LAN Y, et al. Electronic structure of kinetic energy driven cuprate superconductors[J]. International Journal of Modern Physics B200822(22): 3757-3811.

[22]
LU H Y WANG Q H. Disentangling the effective single⁃particle gap in electron⁃doped cuprates: electronic Raman absorption[J]. Physical Review B200775: 094502.

[23]
MULLNER S. Systematic Raman study of optical phonons in RBa2Cu3O6+ δR=Y, Dy, Gd, Sm, Nd): antiferromagnetic coupling strength versus lattice parameters[J].Physical Review B201999: 094525.

[24]
EFTHYMIOS L. Probing phase separation and local lattice distortions in cuprates by Raman spectroscopy [J]. Condensed Matter20194: 87.

[25]
ZAITSEV A G SCHNEIDER R FUCHS D, et al. Electronic transport properties of superconducting FeSe thin films in a magnetic field[J]. Journal of Physics: Conference Series2014507(1): 012054.

[26]
DAMASCELLI A HUSSAIN Z SHEN Z X. Angle⁃resolved photoemission studies of the cuprate superconductors[J]. Reviews of Modern Physics200375(2): 473.

[27]
GENG Z H FENG S P. Doping and temperature dependence of electronic Raman response in cuprate superconductors[J]. Physics Letters A2010375(2): 214-219.

[28]
GENG Z H FENG S P. Electronic Raman response in electron⁃doped cuprate superconductors[J]. Physics Letters A2011375(37): 3329-3334.

[29]
GENG Z H. Magnetic field dependent electronic Raman response of cuprate superconductors[J]. Physics Letters A2014378(18-19): 1309-1312.

Outlines

/