Welcome to Journal of Beijing University of Chemical Technology, Today is
Email Alert  RSS
Mechanical Engineering and Informatics

Numerical simulation of the effect of different gas injection rates on the natural circulation performance of a liquid lead bismuth eutectic

  • ZeLin SHI ,
  • Tao LU ,
  • Yan LUO ,
  • Lei WANG
Expand
  • College of Mechanical and Electrical Engineering,Beijing University of Chemical Technology,Beijing 100029,China

Received date: 2023-05-25

  Online published: 2025-07-30

Abstract

Injecting gas into the natural circulation loop of a liquid lead bismuth eutectic (LBE) can effectively improve its natural circulation ability. In order to investigate the effect of varying gas injection volumes on the heat transfer characteristics of liquid LBE flowing in the circuit and the efficiency of gas lift, numerical simulations were carried out to investigate the effect of seven different gas injection rate conditions ranging from 0 to 750 NL/h on the velocity field, gas-phase volume fraction, friction pressure drop, heat transfer characteristics, and lifting efficiency of the circuit. The calculation results show that the liquid LBE mass flow rate increases from fast to slow and then decreases slightly with the increasing gas injection rate; the gas phase volume fraction in the rising pipe and the falling pipe increases with increasing gas injection rate; the total pressure drop decreases with increasing gas injection rate, and the rate of decrease slows down, and the pressure drop in the rising pipe decreases rapidly and then rises slightly; the change of the Nu number is affected by the mass flow rate of liquid LBE and the volume fraction of the gas phase; the Nu number increases with increasing Re number in the case of low gas injection rates, and decreases with increasing volume fraction of the gas phase in the case of high gas injection rates; the efficiency of the air-lift shows decreases with increasing injection rate, and the rate of decrease slows down gradually.

Cite this article

ZeLin SHI , Tao LU , Yan LUO , Lei WANG . Numerical simulation of the effect of different gas injection rates on the natural circulation performance of a liquid lead bismuth eutectic[J]. Journal of Beijing University of Chemical Technology, 2025 , 52(4) : 65 -73 . DOI: 10.13543/j.bhxbzr.2025.04.008

引言

液态铅铋合金(lead bismuth eutectic,LBE)因具有优良的热工水力特性,作为铅冷快堆的主冷却剂受到广泛关注1。将惰性气体注入冷却系统回路的上升管内可以提高自然循环容量,因此利用气举技术提高冷却剂的自然循环能力成为近年来研究的热点。
Ambrosini等2建立了用于研究自然循环和注气增强自然循环冷却反应堆机理的实验装置,研究结果表明气泡的浮力效应相比全自然循环的热效应具有明显优势。Ceballos等3以氮气和液态LBE为介质进行了注气强化铅铋合金自然循环实验,结果表明气举泵性能随着气体流量的增加而提升。我国Fusion Digital Simulation(FDS)团队开展了铅铋自然循环回路的设计、理论分析和实验研究工作4,结果表明在气举驱动循环模式下,液态LBE质量流量随注气速率的增大而增大。Shi等5进行了气举增强液态LBE自然循环实验,研究结果表明当注气量较低时,液态LBE质量流量随注气量的增加而迅速增加,当注气量较大时,液态LBE质量流量随注气量增加而增速变缓。Yamada等6-7进行了铅铋直接接触沸水快中子反应器两相流动的基础研究实验,并采用二维模型进行数值模拟分析,数值结果表明气泡上升速度低于实验值,空隙率高于实验值。Dostal等8对铅铋直接接触蒸汽进行二维数值模拟,研究发现为准确捕捉大气泡,应建立更细的网格和适用的湍流模型。Wahba等9采用大涡模拟(LES)和流体体积法(VOF)对上升管内的多相流进行数值模拟,捕捉到随注气量的增加两相流流型的转变。左娟莉等10采用欧拉两相流模型,对二维气力提升系统进行了数值模拟,研究表明同一温度下,随着注气量的增加,液体质量流量先快速升高后趋于平稳或略有降低。
综上所述,目前对气举强化液态铅铋合金自然循环的实验研究已有较多进展,但关于完整回路系统内的气举强化液态LBE自然循环的数值模拟研究较少。因此,本文建立了完整的气举回路系统三维模型,研究不同注气量对气举回路内液态LBE的流动传热特性和提升效率的影响规律,为分析注气量对气举回路内液态LBE自然循环的影响提供参考。

1 模型的建立

1.1 物理模型

对气举强化自然循环回路11进行三维建模,液体介质为液态LBE,气体介质为氩气,坐标原点如图1所示,模型参数如表1所示。自然循环回路相较于气举回路简化了稳压器上端和气体进出口。设置了13个监测面,分别如下:上升管内截面Zr1~Zr5,位置分别为z=335、995、1 655、2 345、2 975 mm;下降管内截面Zd1~Zd5,位置分别为z=2 960、2 810、2 210、1 210、50 mm,其中Zd2和Zd3分别为冷源的入口和出口;热源的入口和出口截面Xh1、Xh2,位置分别为x=237、37 mm;垂直截面y=0。液态LBE的热物性参数计算式如表2所示。
图1 回路三维模型示意图

Fig. 1 Schematic diagram of the circuit 3D model

表1 气举回路几何参数

Table 1 Geometric parameters of the gas lift circuit

参数 尺寸/mm 参数 尺寸/mm
回路高度H 3 010 热源深度S h 235
回路宽度S 650 热源长度L h 200
管道直径D 50 冷源长度L c 600
稳压器直径D v 250 出口直径D o 12
稳压器高度H v 265 入口直径D i 12
加热棒长度L r 317 入口高度H i 325
热源直径D h 25
表2 液态LBE热物性表达式

Table 2 Equations of thermophysical properties of liquid LBE

参数名称 计算式
导热系数k/(W·(m·K)-1 k=3.61+1.517×10-2·T-1.741×10-6·T 2
动力黏度μ/(Pa·s) μ=494×10-4·exp(754.1/T
定压比热容Cp /(J·(kg·K)-1 Cp =159-2.72×10-2·T+7.12×10-6·T 2
密度ρ/(kg·m-3 ρ=11 096-1.323 6·T
表面张力系数σ LBE/(N·m-1 σ LBE=0.437-6.6×10-5·T

1.2 数学模型

1.2.1 SST k⁃ω模型

SST k⁃ω模型中kω输运方程分别如下。
( ρ k ) t + ( ρ u i k ) x i = P k - β * ρ k ω + x i μ + σ k μ t k x i
           ( ρ ω ) t + ρ u i ω x i = α ρ S 2 + x i ( μ + σ ω μ t ) ω x j +
2 1 - F 1 ρ σ ω 2 1 ω k x i ω x i - β ρ ω 2
式中,ρ为流体密度,ui 为速度,μ为分子黏度,涡流黏度μt 计算式为
μ t = ρ k ω 1 m a x 1 α 2 , S F 2 a 1 ω
式中,S表示应变速率,F2 计算式如下。
F 2 = t a n h Φ 2 2 Φ 2 = m a x 2 k 0.09 ω y 500 μ ρ y 2 ω

1.2.2 VOF模型

VOF模型通过求解一个(或多个)相位的体积分数的连续性方程来实现相位之间的界面跟踪,方程如下。
1 ρ q t α q ρ q + · α q ρ q v q = S α q + p = 1 n ( m ˙ p q - m ˙ q p )
式中, m ˙ p qp相向q相的传质, m ˙ q pq相向p相的传质,通常q =0。
稳态计算中常使用隐式公式解决计算收敛问题,故本文的稳态计算使用隐式公式,其离散方程如下。
        α q n + 1 ρ q n + 1 - α q n ρ q n Δ t V + f ρ q n + 1 U f n + 1 α q , f n + 1 = S α q + p = 1 n m ˙ p q - m ˙ q p V
瞬态计算中使用显式公式可提高数值准确性,并便于捕捉相界面变化过程,故本文瞬态计算使用显式公式,其离散方程如下。
        α q n + 1 ρ q n + 1 - α q n ρ q n Δ t V + f ρ q U f n α q , f n =
p = 1 n m ˙ p q - m ˙ q p + S α q V
式中,n+1代表当前时间步,n代表前一时间步,αq 为体积分数的单元值,αq,fq th相变体积分数,V为单元体积,Uf 为通过面的体积通量。

1.2.3 湍流普朗特数模型

本文采用Cheng等12提出的湍流普朗特数模型。
P r t = 4.12 , P e < 1   000 0.01 P e 0.018 P e 0.8 - 7.0 - A 1.25 , 1   000 P e < 6   000 A = 5.4 - 9 × 10 - 4 P e , 1   000 < P e < 2   000 3.6 , 2   000 < P e < 6   000

1.2.4 两相流摩擦阻力压降模型

Wu等13将两相摩擦阻力压降看作单相摩擦压降乘以分液相摩擦压降倍率 ϕ l 2,对氩气和液态LBE两相流摩擦阻力压降变化进行分析,如式(9)所示。
Δ P f = f L D G l 2 2 ρ l · ϕ l 2
式中,f为液体流动的摩擦因子,L为上升管长度,D为上升管直径,ρ l为液体密度,G l为液体的质量通量, ϕ l 2计算式为
ϕ l 2 = p / L t p / ( Δ p / Δ L ) l
式中,(∆p/∆Ltp为两相流摩擦压降梯度,(∆p/∆Ll为假设流道全为液相流过时的摩擦压降梯度。
f可用Fang等14提出的单相流摩擦因子模型计算。
f = 0.25 l g 150.39 R e 0.988   65 - 152.66 R e - 2

1.2.5 气举提升效率模型

气举泵的提升效率可用以下两种公式计算。
Nicklin15提出的气举提升效率计算公式。
η n = ρ l g Q l L - H P a Q g l n P i n / P a
式中,Q l为提升液体的体积流量, H为提升管浸没在液体中的长度,Q g为气体入口气体的体积流量,P in为气体入口压强,P a为大气压强, g为重力加速度。
Oueslati等16 提出的气举提升效率计算公式。
η o = m l m g
式中,m l为提升液体的质量流量,m g为气体入口的气体质量流量。

1.2.6 控制方程

温度场控制方程如下。
( ρ h ) t + · ρ h v = · λ T + q ˙
式中, ρ为流体密度, h为比焓, v为速度矢量, λ为热传导系数, T为温度, q ˙为体积源项。
流场动量方程如下。
( ρ v ) t + · ρ v v = - p + · μ v + ρ g
式中, p为压力, μ为黏度系数。

1.3 数值模拟

利用Fluent19.0软件对气举强化液态LBE自然循环过程进行稳态数值模拟和0~30 s内瞬态数值模拟。热源功率为6.6 kW,热源设置均匀热流密度为265 092 W/m2。冷源设置均匀对流换热系数为233 W/(m2·K)及外部流体温度300 K。气体入口为速度入口,注气量从750 NL/h到0,气体出口为压力出口。稳态模拟采用Coupled算法,动量方程、能量方程均为二阶迎风的离散格式。瞬态数值模拟采用Simple算法,时间步长为10-4 s。回路初始化温度为570 K,氩气温度恒定为570 K。通过监测液态LBE质量流量和热源出入口温差作为计算收敛依据。分别对自然循环回路和气举回路几何模型进行六面体结构化网格划分,网格无关性验证结果见图2。建立网格量分别为333万、460万和618万的3种方案,即方案1~3,对单相自然循环回路计算模型进行网格无关性验证。对比热源出入口温差和回路中液态LBE质量流量,方案1与方案3误差均在5%以上,方案2与方案3误差均在1%以下。建立网格量分别为214万、278万和388万的3种方案,即方案4~6,进行两相气举回路计算模型的网格无关性验证。对比热源出入口温差和回路中液态LBE质量流量,方案4、6之间误差均在10%以上,方案5、6之间误差均在10%以下。因此选择网格方案2和方案5开展后续数值模拟。
图2 网格无关性验证结果

Fig. 2 Results of the grid independence tests

湍流模型众多,湍流普朗特数模型间也存在差异,本文在其中选取4种湍流模型,即shear stress transport(SST) k⁃ω、re⁃normalization group(RNG) k⁃ε、Realizable k⁃ε和Standard k-ε湍流模型,以及分别采用Aoki、Reynold、Jischa以及Cheng 4种湍流普朗特数模型11进行验证,计算结果如图3所示。通过对比液态LBE质量流量在不同注气量下的计算值与实验值相对偏差,得出采用SST k-ω湍流模型与Cheng湍流普朗特数模型进行液态铅铋合金自然循环和气举强化液态铅铋合金自然循环数值模拟与实验值的偏差最小。
图3 不同湍流模型及湍流普朗特数模型验证结果对比

Fig. 3 Comparison of the validation results for different turbulence models and turbulent Plante number models

2 结果与分析

2.1 注气量对速度场的影响

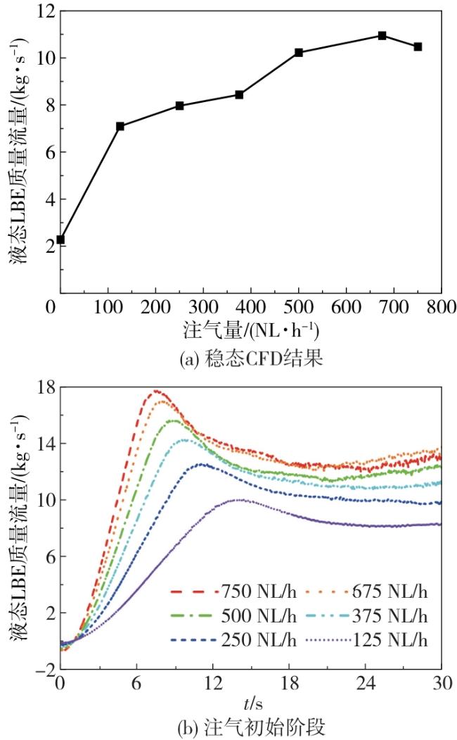
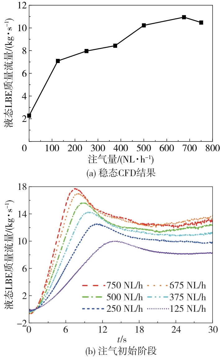
图4为液态LBE质量流量随注气量的变化情况。可以看出,注气量为125 NL/h工况下,液态LBE质量流量约为注气量在0 NL/h工况时的3倍。注气量为250 NL/h~675 NL/h工况间液态LBE质量流量增速较慢。注气量为675 Nl/h工况下液态LBE质量流量最高,约为注气量为0 NL/h工况时的5倍。注气量为750 NL/h工况下的液态LBE质量流量较675 NL/h工况下降低,表明液态LBE质量流量并非一直随注气量的增加而增大。从图4(b)可以看出,0~30 s内液态LBE质量流量先快速增大达到最高值后逐渐降低,且最高值随注气量的升高而增大,达到最高值的时间逐渐缩短。
图4 液态LBE质量流量随注气量变化

Fig. 4 Variation of liquid LBE mass flow rate with injection rate

图5(a)为上升段各截面的速度分布情况。除注气量为500 NL/h工况外,Zr1截面到Zr3截面速度随注气量的增加而增大,注气量500 NL/h工况下Zr1截面到Zr3截面速度略高于注气量675 NL/h工况,这是由于注气量675 NL/h工况下上升管内气泡快速集聚导致截面速度略低。Zr4截面速度随注气量的增加而增大,Zr5截面速度在注气量为750 NL/h工况下低于注气量为675 NL/h和500 NL/h工况下的速度。注气量为750 NL/h和675 NL/h工况下,Zr2截面到Zr5截面速度波动较大,其余注气量工况下Zr2截面到Zr5截面速度波动较平稳。图5(b)为下降管各截面速度分布情况。除注气量为750 NL/h工况,其余工况下各截面速度(绝对值,下同)均随注气量的增加而增大。注气量为750 NL/h工况下,下降管截面速度与注气量675 NL/h和500 NL/h工况相比较低。不同注气量下Zd1截面速度均低于Zd2截面, Zd2截面速度均高于Zd3、Zd4、Zd5 这3个截面,且Zd3、Zd4、Zd5 3个截面速度大小接近,波动较小。全自然循环工况下液态LBE质量流量最小,所以上升段和下降段的速度最低。
图5 各截面轴向平均速度变化

Fig. 5 Average axial velocity change of each section

2.2 注气量对气相体积分数的影响

图6为不同注气量下y=0截面液态LBE体积分数分布云图。可以看出随着注气量的增加,上升段和下降段内气体含量增多,气泡体积增大,气泡分布逐渐密集。回路上端水平管上方部分存在体积较大的气体空间,说明从下降管上升的气体会聚集在此处。随着注气量的增加,回路下端水平管内的气体含量也随之增加,气泡分布在下端水平管的上方部分。在稳压器内,气液界面处存在着较大的波动,剧烈程度随液态LBE质量流量增加而加剧,气泡在此界面处发生破碎进入稳压器上方气体区域,进而通过气体出口排出系统,此界面的波动会影响整个系统运行时的稳定情况。
图6 不同注气量下y=0截面液态LBE体积分数分布云图

Fig.6 Contours of volume fraction distribution of liquid LBE at y=0 for different gas injection rates

图7所示,随着注气量的增加,上升段及下降管内气相体积分数均增大。气体入口管径为12 mm,上升管直径为50 mm,且气体入管后受挤压形成直径更小的气泡进入到上升管。从全自然循环工况到注气量250 NL/h工况间,结合图6体积分数分布云图可知,上升管内的气体以小气泡的形式存在,气液两相间界面密度较大,相间曳力较大,相间滑移速度较小,注气量增加导致上升管内小气泡的数量迅速增多,气相体积分数增速较快。在注气量250 NL/h到 500 NL/h工况间,随着注气量的增加,上升管内小气泡在上升过程中聚并形成体积较大的气泡,两相界面间密度变小,相间曳力减小,相间滑移速度增大,随着气泡体积增大,气相体积分数增速降低。在注气量500 NL/h到750 NL/h工况间,上升管内的气体量增多,导致上升管气相体积分数增速较快。
图7 上升段及下降段中气相体积分数随注气量变化

Fig.7 Variation in volume fraction of the gas phase in rising and falling sections with gas injection rate

2.3 注气量对压降的影响

气液两相流压降由重位压降、摩擦阻力压降、加速压降和局部阻力压降4部分共同作用组成,摩擦阻力压降是由流动摩擦引起的,也是总压降中最重要的一部分。提取气体入口和气体出口的静压差作为气举回路的总压降,提取Zr1截面和Zr5截面的静压差作为上升管的压降。
图8为总压降、上升管压降和摩擦因子随注气量的变化情况,可知上升管压降变化趋势大致与总压降变化趋势一致,大体上总压降随注气量升高而降低,降速逐渐减缓,摩擦因子随注气量增大先减小后升高。由式(9)可知摩擦压降与质量通量G l成二次函数关系,由于x的值很小,导致分液相摩擦压降倍率Φ l 2接近于1,对摩擦压降的影响很小,可忽略不计。在低注气量时,摩擦因子f的快速减小引发两相摩擦压降减小的程度超过液体的质量通量G l和分液相摩擦压降倍率Φ l 2的增大引起的两相摩擦压降的增大的程度,所以注气量较低时,上升管压降也随摩擦因子f降低而降低。在高注气量下,随着液态LBE质量流量的增加,液体的质量通量G l和分液相摩擦压降倍率Φ l 2的增大引起的两相摩擦压降的增大程度超过摩擦系数f的缓慢减小引起的两相摩擦压降减小的程度,故注气量为750 NL/h工况的上升管压降增大。
图8 总压降、上升管压降和摩擦因子随注气量变化曲线

Fig. 8 Variation of total pressure drop, rising tube pressure drop and friction factor with gas injection rate

2.4 注气量对传热特性的影响

图9为热源和冷源出入口温度及温差ΔT随注气量的变化。在气举工况下,冷源和热源进出口温度均随注气量的增加先增大后减小,冷源和热源进出口温差随注气量的增加先减小后增大。注气量675 NL/h工况下,冷热源进出口温度均较其他气举工况下的高,冷热源温差较其他气举工况下的低,说明随液态LBE质量流量增大,冷热源进出口温度增大,温差减小。
图9 热源和冷源出入口温度及温差随注气量的变化

Fig. 9 Change of inlet and outlet temperatures and the temperature difference between the heat source and cold source with gas injection rate

图10为系统回路中的Nu数和Re数随注气量的变化趋势。在注气量675 NL/h工况下,Re数和Nu数均达到最大值,表明此工况下回路内流动与传热能力均最强。在注气量500 NL/h和750 NL/h工况下,Re数相较于注气量375 NL/h工况时高,但Nu数相较于注气量375 NL/h工况时低,表明回路内的流动传热能力与液态LBE质量流量和气相体积分数的大小相关。
图10 Nu数和Re数随注气量的变化趋势

Fig. 10 Variation of Nusselt number and Reynolds number with gas injection rate

2.5 注气量对气举提升效率的影响

分别采用Nicklin效率公式和Oueslati效率公式计算不同注气量工况下气举强化液态LBE自然循环的提升效率,由于两个公式的评价方式不同导致量级存在差异,本文仅分析变化趋势。提升效率随注气量变化如图11所示,可以看出两种效率公式计算的提升效率随注气量的变化趋势大致相同,均为随注气量的升高提升效率逐渐降低。
图11 提升效率随注气量的变化趋势

Fig. 11 Variation of lifting efficiency with gas injection rate

3 结论

(1)液态LBE质量流量随注气量的增加先增大后略有降低,原因是随注气量增加压降降低,在高注气量工况下,下降管内气泡增多,对下降管内液态LBE流动产生较强的阻碍作用。
(2)随注气量的增加,上升管和下降管内气泡含量增多,气泡体积增大,分布逐渐密集,上升段和下降段内气相体积分数增大。
(3)流动摩擦因子随注气量的增加先减小后略有增大。上升管压降受摩擦阻力压降影响,其值随注气量的增加先减小后略有增大,回路总压降随注气量增加而降低。
(4)在气举回路中,随注气量增加冷热源进出口温度先升高后降低,冷热源进出口温差先减小后增大。注气量低于375 NL/h时Nu数随Re数的增大而增大。基于经验公式对气举提升效率进行计算,得出随着注气量的升高,提升效率逐渐降低。
[1]
吴宜灿,王明煌,黄群英,等. 铅基反应堆研究现状与发展前景[J]. 核科学与工程201535(2):213-221.

WU Y C WANG M H HUANG Q Y, et al. Development status and prospects of lead⁃based reactors[J]. Nuclear Science and Engineering201535(2): 213-221. (in Chinese)

[2]
AMBROSINI W FORASASSI G FORGIONE N, et al. Experimental study on combined natural and gas⁃injection enhanced circulation[J]. Nuclear Engineering and Design2005235(10-12): 1179-1188.

[3]
CEBALLOS C MARCEL C LATHOUWERS D, et al. Experimental and analytical study of buoyancy enhancement with two phase gas⁃liquid metal in a closed loop[C]//12th International Conference on Emerging Nuclear Energy Systems. Brussels, 2005.

[4]
RAN G M HUANG Q Y GAO S. Preliminary design and analysis of a lead-bismuth natural circulation loop[C]//2013 International Conference on Nuclear Engineering. Chengdu, 2013: 55812.

[5]
SHI L T BING T WANG C G, et al. Experimental investigation of gas lift pump in a lead⁃bismuth eutectic loop[J]. Nuclear Engineering and Design2018330: 516-523.

[6]
YAMADA Y AKASHI T TAKAHASHI M. Experiment and numerical simulation of bubble behavior in argon gas injection into lead⁃bismuth pool[J]. Journal of Power and Energy Systems20071(1): 87-98.

[7]
YAMADA Y TAKAHASHI M. Numerical analysis of lead⁃bismuth⁃water direct contact boiling heat transfer[J]. Journal of Power and Energy Systems20082(2): 479-491.

[8]
DOSTAL V ZELEZNY V ZACHA P. CFD simulations of Pb-Bi two⁃phase flow[C]//2008 International Youth Nuclear Congress. Interlaken, 2008: 249.

[9]
WAHBA E M GADALLA M A ABUEIDDA D, et al. On the performance of air⁃lift pumps: from analytical models to large eddy simulation[J]. Journal of Fluids Engineering2014136: 111301.

[10]
左娟莉,杨泓,魏炳乾,等.液体温度对空气-水气力提升系统性能影响数值模拟研究[J].应用力学学报202037(4):1770-1777.

ZUO J L YANG H WEI B Q, et al. Numerical simulation study on the effect of liquid temperature on the performance of air⁃water air lift system[J]. Chinese Journal of Applied Mechanics202037(4): 1770-1777. (in Chinese)

[11]
史泽林. 气举强化液态铅铋合金自然对流流动传热研究[D].北京:北京化工大学, 2023.

SHI Z L. Study on natural convection heat transfer of liquid lead⁃bismuth eutectic enhanced by gas lift [D]. Beijing: Beijing University of Chemical Technology, 2023. (in Chinese)

[12]
CHENG X, TAK N. Investigation on turbulent heat transfer to lead⁃bismuth eutectic flows in circular tubes for nuclear applications[J]. Nuclear Engineering and Design2006236(4): 385-393.

[13]
WU J M CAO W CONG T L. Numerical investigation on the performance of gas⁃lift pump with large density ratio of liquid to gas[J]. International Journal of Multiphase Flow2022148: 103936.

[14]
FANG X D XU Y ZHOU Z R. New correlations of single⁃phase friction factor for turbulent pipe flow and evaluation of existing single⁃phase friction factor correlations[J]. Nuclear Engineering and Design2011241(3): 897-902.

[15]
NICKLIN D J. The air⁃lift pump: theory and optimisation[J]. Transactions of the Institution of Chemical Engineers196341: 29-39.

[16]
OUESLATI A MEGRICHE A. The effect of liquid temperature on the performance of an airlift pump[J]. Energy Procedia2017119: 693-701.

Outlines

/