Welcome to Journal of Beijing University of Chemical Technology, Today is
Email Alert  RSS
Material Science and Engineering

Research on tensile orientation and SIC behavior of NR/CIIR blends

  • RuiXin WANG 1 ,
  • CongGang HUANG 2 ,
  • RuiNing YANG 1 ,
  • GangPeng WANG , 3
Expand
  • 1. China Aerospace Manufacturing Technology Research Institute,Beijing 100024
  • 2. Beijing Xinxiang Polymer Materials Co. ,Ltd. ,Beijing 101500
  • 3. Zhongke Fangcun Zhiwei Technology Co. ,Ltd. ,Nanjing 211135,China

Received date: 2024-07-22

  Online published: 2025-01-24

Abstract

Natural rubber (NR)/chlorinated butyl rubber (CIIR) composites have been prepared by mechanical blending and molding. The vulcanization properties, mechanical properties, uniaxial tensile orientation properties, strain-induced crystallization (SIC) and damping behavior of the composites were analyzed. Transmission electron microscopy (TEM) showed that CIIR components had an island structure distribution in the blends, and the boundaries were clear. With the increasing CIIR content, the compressive stress-strain properties were similar to those of pure NR, but the tensile strength decreased significantly compared with pure NR. Infrared dichroism analysis showed that the orientation behavior is mainly due to the NR component. Synchrotron radiation wide-angle X-ray diffraction (WAXD) analysis showed that the higher the proportion of CIIR, the weaker the SIC behavior. NR/CIIR blends with the characteristics of both precursors can be prepared by mechanical blending. The loss factor at 30 Hz increases from 0.1 for NR pure rubber to 0.18 for a 50/50 NR/CIIR blend, with an increase of 80%. This work provides new ideas for the preparation of rubber composite materials for shock insulation.

Cite this article

RuiXin WANG , CongGang HUANG , RuiNing YANG , GangPeng WANG . Research on tensile orientation and SIC behavior of NR/CIIR blends[J]. Journal of Beijing University of Chemical Technology, 2025 , 52(1) : 57 -65 . DOI: 10.13543/j.bhxbzr.2025.01.007

引 言

减震支座是一种用于建筑、桥梁、机械设备等结构中的装置,旨在减少地震、震动或其他外力引起的结构震动和动态荷载传递。橡胶是常见的减震支座材料。天然橡胶(NR)具有多种优良的性能,如高弹性、高强度、高绝缘性、优良的耐磨性等,拉伸时分子链重新排布,表现为应变诱导结晶1。NR可通过应变诱导结晶性能来起到自补强的作用2。NR在频率为10~1 000 Hz,损耗因子(tanδ)≥0.5,温度范围为-45 ℃~-23 ℃,其室温阻尼性较差。而丁基橡胶(IIR)具有较好的阻尼特性,其分子链存在大量侧甲基链段,提高了其大分子主链的旋转能垒。IIR在频率为10~1 000 Hz,tanδ≥0.5,可用温度范围为-47 ℃~18 ℃。氯化丁基橡胶(CIIR)除IIR所具有的耐温性、电绝缘性、耐臭氧性、耐磨性、耐酸碱性、耐压缩永久变形性和气密性等特性外,还解决IIR存在的硫化速度慢和黏接差的问题,能与NR、氯丁橡胶(CR)、丁苯橡胶(SBR)等进行共硫化,且进一步改善了IIR的耐热性和耐候性3
学者们研究了NR的拉伸结晶特性,并提出了许多理论模型,但关于NR与CIIR通过机械共混和模压成型工艺后的微观结构、拉伸结晶取向与应变诱导结晶行为报道较少,对硫化后NR试样进行拉伸很容易使分子网络在外力作用下取向,并出现结晶现象,即应变诱导结晶(strain⁃induced crystallization,SIC),虽然NR容易发生应变诱导结晶,但在较大应变的条件下,仍只有20%~33%分子链发生结晶;62%~75%保持非取向的无定型状态;约5%分子链处于取向的无定形状态2。Tosaka4通过研究发现在大变形单轴拉伸时,NR分子链表现出各向同性特性,部分无定型分子链发生应变诱导结晶特性,这与Murakami等5和Toki等6的研究结果一致。硫化与未硫化天然橡胶的结晶现象有所区别,这与天然橡胶结构、交联键种类、添加剂、分子链自由度均有相关性。一般来说,硫化胶结晶速度低于未硫化胶的结晶速度,未硫化胶分子链更容易进行规整的排列,从而发生结晶现象;而硫化胶的结构中引入了交联网络,分子链的运动受到抑制。但对于NR中引入不同比例CIIR对共混硫化胶单轴拉伸取向、应力诱导结晶等性能方面影响的研究较少。
本文采用红外二向色性法、同步辐射广角X射线衍射(Synchroton Radiation WAXD)技术,研究经过机械共混剪切与分散后NR/CIIR共混物材料中,NR与CIIR的不同占比对单轴拉伸取向及SIC性能的影响;通过透射电子显微镜研究不同配比下NR和CIIR的岛相结构与分散情况,为NR、CIIR材料共混研究提供基础数据及应用新思路。

1 实验部分

1.1 实验原料和仪器

1.1.1 实验原料

天然橡胶云标1#(SCR WF),云南天然橡胶产业有限公司;氯化丁基橡胶CIIR1066,Cl含量1.1%~1.3%,埃克森美孚公司;氧化锌,广州陆昌化工有限公司;活性氧化镁,日本神岛公司;硫磺,金昌盛集团。

1.1.2 实验仪器

开放式炼胶(塑)机(XK-160),四川亚西橡塑机器有限公司;盘式硫化仪(3555B2),有转子硫化仪,北京瑞达宇辰仪器有限公司;30T平板硫化机(XLB-350×350),中国浙江湖州东方机械有限公司;万能拉力试验机(CMT4202),美特斯工业系统(中国)有限公司;扫描电子显微镜(S-4700)、透射电子显微镜(H-800),日本日立公司;傅立叶变换红外光谱仪(TENSOR 27),德国BUKER公司;橡胶加工分析仪(RPA2000),美国埃迩法科技公司;同步辐射(BL16B1线站),上海光源。

1.2 NR/CIIR共混物的制备

NR/CIIR共混物的制备步骤如下。
(1)NR采用硫磺硫化体系硫化,组分(质量分数)如下:NR 100,氧化锌 3,硬脂酸 1,促进剂二硫化四甲基秋兰姆(TMTD)1,促进剂2、2'⁃二硫代二苯并噻唑(DM)0.3,促进剂N⁃环己基⁃2⁃苯并噻唑次磺酰胺(CZ)0.3,硫磺(S)1.5;CIIR采用金属氧化物体系硫化,组分(质量分数)如下:CIIR 100,氧化锌 5,氧化镁 0.5,硬脂酸1,促进剂二硫化四甲基秋兰姆(TMTD )1,促进剂2、2'⁃二硫代二苯并噻唑(DM)1。
(2)准确称料后,通过开炼机进行混合混炼,得到NR及CIIR混炼胶,依次按照NR和CIIR混炼胶的质量比例按照90/10、80/20、70/30、60/40、50/50,继续在开炼机剪切混合得到混合材料,依次标记为NR、9010、8020、7030、6040、5050、CIIR。
(3)胶料混炼,开炼机辊温为45~55 ℃,得到母胶后,停放1 d后,测定硫化曲线,用平板硫化机制备硫化橡胶试样。

1.3 测试与表征

应力应变测试 裁成哑铃型样条,按照GB/T 528—2009对试样进行单轴拉伸,拉伸速度为500 mm/min,记录其应力应变曲线。
透射电镜(TEM)表征 采用冷冻切片机将共混物进行冷冻切片并染色,采用透射电子显微镜观察不同放大倍数下NR和CIIR的分散形貌。
红外二向色性 根据红外二向色性法研究共混物的取向情况。将共混物硫化得到厚度0.05~0.1 mm的薄膜片,裁成15 mm×10 mm的样条。将样条固定在拉伸工装模具中,通过调整偏正片角度测试不同应变条件下的平行偏正和垂直偏正的红外谱图,通过OPUS软件处理得到对应谱图的吸光度,分别记为A∥A⊥,通过式(1)式(2)计算得到不同应变下的取向因子f
R = A / / A
f = R - 1 R + 2 × 2 3 c o s 2 β - 1 = F ( β ) R - 1 R + 2
其中,F(β)与角度β相关,β是区域分子链轴与振动模式跃迁距矢量之间的夹角,单位为°,取向因子f与(R-1)/(R+2)成正比,R为二向色性比,可用二向色性函数定性得到分子链的取向大小。
橡胶加工分析仪(RPA)测试 采用RPA测试材料的动态力学性能。测试条件为温度30 ℃,测试样品的损耗因子。应变扫描:频率为1 Hz,应变设定为0~300%;频率扫描:应变为5.02%,频率设定为0~33 Hz。
同步辐射WAXD测试 上海光源的BL16B1线站,测试条件为温度25 ℃,波长0.124 nm。样品到探测器的距离为137.2 mm,通过Mar CCD 165探测系统记录样品WAXD图。裁切制样(100 mm×10 mm×0.5 mm)固定在自制的拉伸工装上并放置于线站上。在样品中间取初始间距为l 0=5 mm的两点做标记,当样品被拉伸至l时,其应变如下式。
α=l 0 -l)/l 0 *100%
其中,l为拉伸后的长度,mm;α为应变,%。分别在拉伸比为0时,1~5.5 s每间隔0.5 s采样曝光,曝光时间设置50 s,取得在不同拉伸比下的二维(2D)WAXD图。

2 结果与讨论

2.1 NR/CIIR共混物的硫化性能

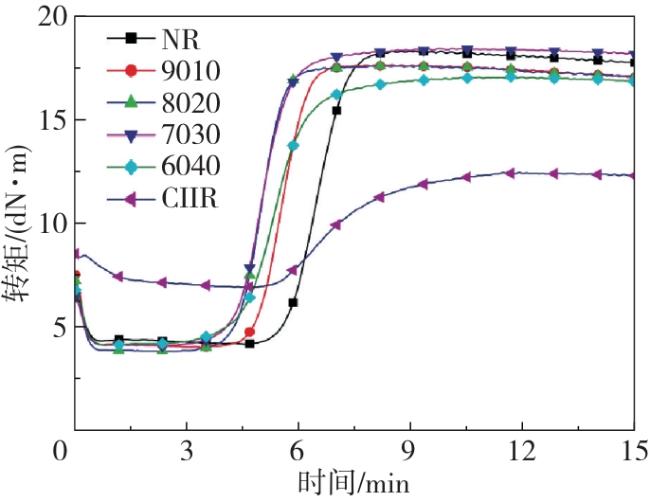
图1是各共混物的硫化曲线。可以看出,硫化过程最大转矩NR>CIIR,最小转矩NR<CIIR, NR扭矩差最大。NR/CIIR 80/20共混物具有最短的正硫化时间。
图1 共混物的硫化特性曲线

Fig.1 Vulcanization curing of the blends

2.2 NR/CIIR共混物的形貌

图2图3是NR/CIIR 8020和6040共混物的TEM图。由图可知,随着CIIR用量的增加,CIIR分散相的尺度逐渐扩大,平均分散尺寸约由200 nm增大为1 μm,同时CIIR以球形或类球形的形貌分散,说明NR与CIIR之间的界面作用力低,两者相容性不佳。
图2 8020共混物的TEM图

Fig.2 TEM micrograph for the 8020 blend

图3 6040共混物的TEM图

Fig.3 TEM micrograph for the 6040 blend

2.3 NR/CIIR共混物的力学性能

表1是各共混物的力学性能典型值,图4是各共混物的应力应变曲线。可以看出,NR与NR/CIIR共混物具有趋势相同的拉伸力学曲线,说明其定伸应力数值相近。除了CIIR纯胶的应力应变曲线外,含有NR组分的共混物在500%伸长率左右曲线斜率突然增大,拉伸强度上升,这是因为NR硫化胶拉伸结晶的出现,起到了增大强度的作用。
表1 共混物的力学性能

Table 1 Mechanical properties of the blends

样品 100%定伸应力/MPa 300%定伸应力/MPa 拉伸强度/ MPa 断裂伸长率/ %
NR 1.03 2.67 28.52 709
9010 0.97 2.45 24.04 669
8020 0.94 2.34 22.17 671
7030 0.92 2.23 15.80 619
6040 0.86 2.05 9.43 547
5050 0.78 1.14 1.63 552
CIIR 0.51 0.93 7.94 870
图4 共混物的应力应变曲线

Fig.4 Stress-strain curves for blends

随着NR用量的减少,NR/CIIR共混物的定伸应力逐步下降,拉伸强度由NR的28.52 MPa下降至NR/CIIR 50/50的1.63 MPa,下降幅度高达94.28%;共混物断裂伸长率由NR的709%下降至共混比60/40的547%,下降幅度达22.84%。反观CIIR中加入NR的性能变化情况,本研究中50/50的拉伸强度最低,仅为1.63 MPa,其他比例的拉伸强度均有所提高。结合TEM图分析,在NR/CIIR共混物中,呈海岛结构的CIIR作为分散相,分散在NR的连续相中,并且CIIR的分散尺寸为微米级别,与NR的纳米级分散程度不是相同量级,而且两相界面明显,不存在强化学键,均表现出两者的相容性不佳。在单轴拉伸测试中,共混物应力主要依靠NR连续相,这也是NR与NR/CIIR共混物定伸应力相近的主要原因。由于NR和CIIR的界面明显、相容性差,其共混物容易在大变形过程中产生应力集中缺陷点位,因此随着CIIR占比的增加,缺陷点位增多。本研究中共混物的拉伸强度最大下降幅度为94.28%,断裂伸长率最大下降幅度为22.84%,也说明了硫化胶中NR的可拉伸结晶性对拉伸强度的贡献最大。

2.4 CIIR对NR阻尼性能的影响

图5为NR/CIIR共混物的RPA测试的频率扫描图,图6为NR/CIIR共混物RPA测试的应变扫描图。可以看出,CIIR具有较好的阻尼性,这是由于分子链侧链的甲基提高了分子链旋转位垒。在温度T=30 ℃时,频率扫描结果显示,与CIIR损耗因子(tanδ)相比,纯NR的tanδ数值最低约0.1,机械能耗散能力较差,纯CIIR的tanδ最高约0.33,NR和CIIR经过机械物理共混后,CIIR的引入提高了NR/CIIR共混物硫化胶的tanδ,在共混比50/50时tanδ约为0.18与纯NR的tanδ相比,其增幅可达80%。
图5 共混物的RPA(频率扫描)

Fig.5 RPA results for the blends (frequency scanning)

图6 共混物的RPA(应变扫描)

Fig.6 RPA results for the blends (strain scanning)

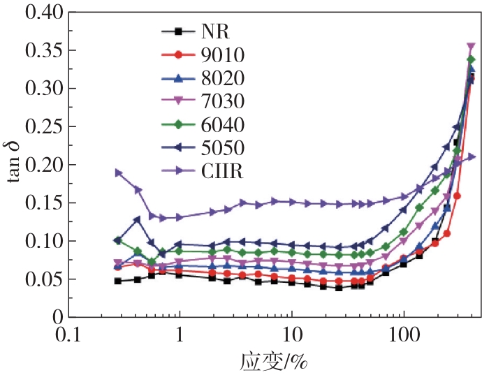
图5共混物RPA测试频率扫描可知,温度30 ℃,同等应变5.02%时,随着测试频率的增大,各共混物硫化胶的tanδ明显呈上升趋势,且均在频率30 Hz时到达峰值,但纯NR的tanδ上升幅度较小,其20 Hz和30 Hz数值基本持平,说明频率对NR的tanδ提高作用有限,也间接说明采用NR材料在高频振动的情况下,起不到特别好的隔振效果,限制了精密器械的使用场景;纯CIIR随着频率增加,其tanδ上升最为明显,从0.14增至0.32,增幅为128.5%,说明频率的上升对CIIR胶tanδ的增加呈正相关性,对于适当的频率增加,CIIR可以作为较好的材料选择;随着CIIR占比的增多,共混物tanδ上升趋势明显,说明CIIR/NR共混物的硫化胶,CIIR在损耗中起到了关键作用。
图6应变扫描测试发现,在温度30 ℃,1 Hz频率下,应变低于50%时,应变对各共混物的tanδ敏感性不强,当应变大于50%后,tanδ上升趋势明显。同时,应变提高对NR硫化胶的影响要显著大于CIIR硫化胶,应变从1%~300%,NR的tanδ从0.05增至0.32,涨幅高达540%;共混比50/50共混物应变从1%~300%,tanδ从0.09增至0.3,涨幅达323.3%;CIIR纯胶应变从1%~300%,tanδ从0.13增至0.21,涨幅仅为61.5%。究其原因,当硫化胶所受应变较大时,NR硫化胶会发生拉伸取向结晶,抵抗变形所需要消耗的能量更多,故而NR硫化胶的损耗因子会大幅上升。

2.5 NR/CIIR共混物的单轴拉伸取向行为

图7是纯NR、纯CIIR硫化胶、NR/CIIR共混物的红外光谱图,样品均为在未受力状态下测试。
图7 NR、CIIR和8020的红外光谱图

Fig.7 FT-IR spectra of NR, CIIR and 8020

为了评估在拉伸过程中的取向行为,选用了互不干扰的独立特征峰作为分析对象。NR硫化胶选用在836 cm-1处的吸收峰是异戊二烯C-H面外变形振动峰,CIIR硫化胶选用1 230 cm-1处的C-C骨架伸缩振动峰。
图8图9是NR和CIIR在不同应变下的偏振红外光谱图。
图8 NR在不同应变下的偏振FT-IR图

Fig.8 Polarization FT-IR plots under different strains of NR

图9 CIIR在不同应变下的偏振FT-IR图

Fig.9 Polarization FT-IR plots under different strains of CIIR

当NR应变为0时,其 平行偏振红外光谱图和垂直偏振红外光谱图完全重合,说明此时无拉伸结晶取向产生;当应变从100%上升至500%后,NR硫化胶的平行和垂直偏振红外光谱曲线开始表现出较大间隙,表明在δ=836 cm-1处垂直吸光度大于平行吸光度,两者差值随应变增大而提高。此峰位随着形变的增加,向高峰位方向移动,这是由于NR在受到应变时产生了应变诱导结晶7-8。观察图9不难看出,CIIR硫化胶在已给不同应变情况下的平行和垂直偏振红外光谱图曲线重合度始终保持一致,说明CIIR硫化胶即使在大应变500%的情况下依然未发生应变诱导结晶。
图10图11分别是以NR组分和CIIR组分为研究对象,得到不同应变下的取向因子。
图10 NR在不同应变下的取向因子

Fig.10 Plots of orientation degree against strain of NR

图11 CIIR在不同应变下的取向因子

Fig.11 Plots of orientation degree against strain of CIIR

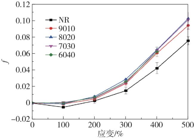
纯NR硫化胶的取向因子最低,80/20硫化胶的取向度最大,且随着应变的增大,取向度在300%处开始大幅增大,是因为NR硫化胶在大变形情况下的拉伸结晶行为更为明显。此外,在以CIIR为研究目标时,CIIR纯胶、不同共混比的硫化胶在大变形情况下取向因子均低于0.01,说明在大变形拉伸的情况下,CIIR及共混物硫化胶均无拉伸结晶取向产生。

2.6 NR/CIIR共混物的应变诱导结晶行为

12~15分别是NR、9010、8020和CIIR的应力应变曲线以及不同应变下对应的2D WAXD图。
图12 NR 应力应变曲线及对应所选应变下的2D WAXD图

Fig.12 Stress-strain curve and selected 2D WAXD of NR

图13 9010应力应变曲线及对应所选应变下的2D WAXD图

Fig.13 Stress-strain curve and selected 2D WAXD of 9010

图14 8020应力应变曲线对应所选应变下的2D WAXD图

Fig.14 Stress-strain curve and selected 2D WAXD of 8020

图15 CIIR应力-应变曲线对应所选应变下的2D WAXD图

Fig.15 Stress-strain curve and selected 2D WAXD of CIIR

图12说明了纯NR硫化胶在大应变下出现明显的结晶现象,浅色光晕代表无定形区,灰色光斑代表结晶区,随着应变增大至550%,光斑明显增多,说明大应变情况下拉伸结晶现象更显著;图1314展示了共混比为90/10和80/20共混物的2D WAXD图像,通过对比应变400%的灰色结晶区数量,不难发现随着CIIR占比的增加,原本在图13的应变300%处可以清晰观察的光斑,在图14中,应变300%时光斑消失,当应变上升至400%时,光斑又开始出现,说明CIIR的增多影响了NR分子链的规整性,从而影响了拉伸结晶取向。如图15所示,CIIR在应变为500%时仍未观察到斑点,说明其未发生拉伸结晶取向。所以在研究NR/CIIR共混物硫化胶的应变诱导结晶行为时可以忽略CIIR组分结晶度的影响。图16是结晶度处理示意图。
图16 2D WAXD图

Fig.16 2D WAXD picture

结晶度的计算是选用两个衍射峰的晶面,这两个峰面分别对应200晶面和120晶面,在除去红色区域和白色空气背景后,结晶度计算的结果会比实际值偏大。
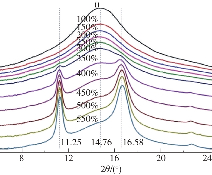
图17图18是沿着2D WAXD图的赤道方向将图12图15中不同应变下的2D图进行处理,得到的1D X射线衍射曲线的变化折线图。从图17中可看出,在应变达到350%时,硫化胶在2θ≈11.25°及2θ≈16.58°处出现两个结晶衍射峰,随着应变增大,应变诱导结晶增多,在2θ≈14.76°的峰属于无定形衍射峰。图15中,CIIR硫化胶在2θ≈11.55°处只有一个无定形衍射峰。由于无定形衍射峰和晶体衍射峰部分重叠在一起,采用Gauss函数进行多峰拟合处理,计算结晶度,Gauss函数公式如下。
Ix)=hexp(-(x-x c2(2w 2))
其中,Ix)是在x处衍射峰的强度,CPS;x c是最大衍射强度峰的位置,°;hw分别代表峰高和峰宽9
图17 NR 在不同应变下的衍射曲线

Fig.17 Diffraction curves of NR under different strains

图18 CIIR在不同应变下的衍射曲线

Fig.18 Diffraction curves of CIIR under different strains

通过对比大变形400%共混比9010的衍射曲线来展示分峰拟合结果。由于CIIR的存在,在进行分峰时需拟合出CIIR的无定型峰,见图19
图19 经过拟合后的9010在应变为400%时的衍射曲线

Fig.19 Curve fitting for 9010 at 400% strain

参考文献[9]研究方式,通过衍射强度数据,采用公式(5)计算室温下的结晶度。
X c=A c/(A c+A a)×100%
其中,A c为200晶面和120晶面衍射峰的面积,AU*min;A a为无定形环的面积,AU*min。
为了使各共混物的NR相结晶度具有可比性,我们对测试结果进行归一化处理。
X c=X c/β
其中,X c为NR的归一化结晶度;β为共混物的共混比。
图20为各共混物在不同应变下的归一化结晶度。通过对比发现,纯NR硫化胶拉伸结晶的起点应变在300%附近,在应变为500%时,拉伸结晶度最高为30%;共混比60/40应变为450%时,最大拉伸结晶度仅为8%,结晶度下降约73.3%;90/10的拉伸结晶起点早于纯NR,应变约为250%,因为在此比例下NR组分以连续相为主,CIIR组分为分散相,少量的CIIR对NR的结晶具有明显的促进作用,可能是CIIR中大尺寸物质组分充当了异相成核剂。通过对比曲线斜率,不难发现结晶速率由快到慢依次为NR、90/10、80/20、70/30、60/40,说明随着CIIR占比的逐步增加,共混硫化胶的结晶速率整体呈下降趋势,且由于NR占比下降,结晶度也呈现下降趋势,说明共混物中NR占比是影响结晶度的主要因素。
图20 NR和NR/CIIR共混物在不同应变下的结晶度

Fig.20 Crystallization index as a function of strain for NR and NR/CIIR blends

2.7 NR/CIIR共混物硫化胶的结晶模型

结晶结构是天然橡胶结晶的重要组成部分,其未硫化状态和硫化胶状态均可以表现出拉伸结晶结构。需要说明的是本模型研究的主要内容为共混物硫化胶的拉伸结晶状态变化,排除了NR中蛋白质、脂肪酸等因素影响。
图21是NR、9010、6040在拉伸过程中的结晶变化模型。图中的Ⅰ阶段,无拉伸应力,此时三者均无结晶出现;图中的Ⅱ阶段,为小应变,三者开始出现少量NR结晶区;图中Ⅲ、Ⅳ阶段,应变继续增大,纯NR结晶区开始发生取向并排列整齐,共混物中的NR结晶区也开始发生取向并重新排列,但是少量的CIIR相不均匀分布在NR相中,部分阻碍NR结晶区排列,NR结晶区增多,但由于CIIR相的增多,空间位阻增大,NR结晶区排列更为困难,基本破坏了NR的规整性和连续性。此模型也展示了CIIR相通过空间阻隔NR连续相,降低了结晶速度。橡胶中加入固体填料能够改变应力场,增加链段的局部应变,导致局部不均一性,即产生应变放大效应10-11。结合TEM、拉伸状态红外光谱图、WAXD图相结果,不难发现,当硫化胶中含有少量CIIR相时,NR相的连续性和规整性受影响程度较低,可以在较小应变情况下展示出良好的拉伸取向结晶结构;当CIIR相占比不断增大时,由于CIIR交联链点和NR交联链点并无相容剂进行良好的结合,以各自独立分布为主,也直接影响了NR相的连续性和完整性,从而导致在拉伸过程中,CIIR相会阻碍NR相的结晶程度和速率,弹性体的应变诱导结晶也是消耗纯的有效过程之一12,这也是拉伸强度及伸长率下降的主要原因。另一方面正是因为CIIR相的加入,其分子链有密集的侧甲基,分子链舒展或旋转需要克服空间位阻做功较多,且共混物硫化胶在拉伸过程中需要抵消应力变形消耗的能量增多,这也是共混物硫化胶损耗因子增大的主要原因。
图21 NR,9010,6040在拉伸过程中的变化模型

Fig.21 Models of changes during stretching process for NR,9010 and 6040

3 结论

通过机械共混改性,制备得到不同共混比的NR/CIIR共混物。对比硫化特性曲线、物理机械性能、共混结构、单轴拉伸取向行为、SIC行为、阻尼损耗因子等宏观及微观性能,实验结果表明,频率对纯CIIR硫化胶影响较大,随频率增加,tanδ涨幅达128.5%;应变对纯NR硫化胶影响较大,当应变上升至300%时,tanδ涨幅高达540%;随CIIR占比增加,损耗因子上升,阻尼性能得到提高,其中50/50共混比,频率扫描模式下tanδ提高80%,应变扫描模式下tanδ提高323.3%;拉伸应力应变曲线趋于一致,但共混物硫化胶拉伸强度下降幅度高达94.28%,硫化胶断裂伸长率下降幅度达22.84%;从单轴拉伸取向和SIC行为来看,NR组分的取向和结晶行为是影响共混物综合物理机械性能的关键因素,CIIR组分无单轴拉伸取向和诱导结晶行为。因此,通过适当的共混配比改性,进一步引入相容剂增强NR和CIIR的分散状态,引入纳米补强填料增加物理机械性能,加入阻尼功能性助剂增强损耗因子及拓展温域范围,采用机械共混改性的混炼方式,可获得综合性能良好的隔震用纳米复合材料混炼胶,为隔震支座用橡胶复合材料的制备提供新思路。
1
李昊徽, 章桥新, 周瑞平, 等. 氯化丁基橡胶/天然橡胶共混胶的力学性能[J]. 弹性体202333(5): 1-7.

LI H H ZHANG Q X ZHOU R P, et al. Mechanical properties of chlorobutyl rubber/natural rubber blends[J]. China Elastomerics202333(5): 1-7. (in Chinese)

2
张立群. 天然橡胶及生物基弹性体[M]. 北京: 化学工业出版社, 2014.

ZHANG L Q. Natural rubber and bioelastomers[M]. Beijing: Chemical Industry Press, 2014. (in Chinese)

3
张玉龙, 孙敏. 橡胶品种与性能手册[M]. 北京: 化学工业出版社, 2012: 62-65.

ZHANG Y L SUN M. Rubber variety and performance manual[M]. Beijing: Chemical Industry Press, 2012: 62-65. (in Chinese)

4
TOSAKA M. A route for the thermodynamic description of strain⁃induced crystallization in sulfur⁃cured natural rubber[J]. Macromolecules200942: 6166-6174.

5
MURAKAMI S SENOO K TOKI S, et al. Structural development of natural rubber during uniaxial stretching by in situ wide angle X⁃ray diffraction using a synchrotron radiation[J]. Polymer200243: 2117-2120.

6
TOKI S SICS I RAN S F, et al. New insights into structural development in natural rubber during uniaxial deformation by in situ synchrotron X⁃ray diffraction[J]. Macromolecules200235: 6578-6584.

7
KUESENG K JACOB K I. Natural rubber nanocomposites with SiC nanoparticles and carbon nanotubes[J]. European Polymer Journal200642(1): 220-227.

8
CHEN Q H ZHANG Z Y HUANG Y D, et al. Structure-mechanics relation of natural rubber: insights from molecular dynamics simulations[J]. ACS Applied Polymer Materials20224(5): 3575-3586.

9
王刚鹏. 高性能隔震天然橡胶基复合材料的制备、结构与性能研究[D]. 北京: 北京化工大学, 2015.

WANG G P. Preparation, structure and performance study of high⁃performance isolation natural rubber based composite materials[D]. Beijing: Beijing University of Chemical Technology, 2015. (in Chinese)

10
YAMASHITA S TAKAHASHI S. Molecular mechanisms of natural rubber biosynthesis[J]. Annual Review of Biochemistry202089(1): 821-851.

11
TRABELSI S ALBOUY P A RAULT J. Effective local deformation in stretched filled rubber[J]. Macromolecules200336(24): 9093-9099.

12
王梦蛟, 迈克尔·莫里斯. 粒状填料对橡胶的补强-理论及实践[M]. 北京: 化学工业出版社, 2021: 305.

WANG M J MORRIS M. The reinforcement of rubber by granular fillers-theory and practice[M]. Beijing: Chemical Industry Press, 2021: 305. (in Chinese)

Outlines

/