欢迎访问北京化工大学学报(自然科学版),今天是
Email Alert  RSS
综述

文物保护用胶粘剂面临的挑战与对策

  • 张军营 , 1 ,
  • 高峰 1 ,
  • 李鲲 2
展开
  • 1. 北京化工大学 材料科学与工程学院,北京 100029
  • 2. 清华大学 航天航空学院,北京 100084

男,1962年生,教授,博士生导师 E-mail:

收稿日期: 2025-07-10

  网络出版日期: 2025-10-30

基金资助

国家重点研发计划(2023YFF0906004)

Challenges and their countermeasures in the use of adhesives in the conservation of cultural relics

  • JunYing ZHANG , 1 ,
  • Feng GAO 1 ,
  • Kun LI 2
Expand
  • 1. College of Materials Science and Engineering,Beijing University of Chemical Technology,Beijing 100029
  • 2. School of Aerospace Engineering,Tsinghua University,Beijing 100084,China

Received date: 2025-07-10

  Online published: 2025-10-30

摘要

文物是人类了解和传承历史的重要信息载体,文物保护对于人类的发展具有重要的意义。胶接技术是文物保护很早就采用的不可或缺的方法。从胶粘剂构成、特性和应用入手,论述了文物保护用胶接材料发展过程和应用现状,并讨论了现代胶接技术向文物保护材料转变的难点与矛盾、挑战与对策。以课题组现有研究为基础,为文物保护用胶接材料发展提供思路,即根据需求牵引,借鉴其他学科已有成果和经验,形成系列化的胶接材料体系、规范、标准,并展望未来文物保护材料的发展趋势—学科交叉。

本文引用格式

张军营 , 高峰 , 李鲲 . 文物保护用胶粘剂面临的挑战与对策[J]. 北京化工大学学报(自然科学版), 2025 , 52(5) : 53 -67 . DOI: 10.13543/j.bhxbzr.2025.05.006

Abstract

Conservation of cultural relics is of great significance, since it provides information that increases understanding of our historical inheritance. Adhesive bonding technology has been used for the conservation of cultural relics for a long time. In this work, the current status of the use of adhesive materials in the preservation of cultural relics has been reviewed, including their composition, characteristics, and applications. We also discuss the difficulties, challenges, and appropriate countermeasures concerning the direct application of modern adhesive technology in cultural relic conservation. Based on existing research achievements, strategies for further development in the use of adhesive materials in conservation are proposed. Finally, we suggest that future developments in cultural relic protection materials will require an integrated interdisciplinary approach.

引言

文物是指不可再被创造,集一定历史价值、艺术价值与科学价值于一体的遗物和遗迹1,是人们了解和传承人类历史的重要信息载体,对于现代自然科学、社会科学和人文科学发展也有重要的参考和借鉴意义。我国拥有辉煌的历史和璀璨的文化,遗存了数量巨大的历史文物,其承载着中华民族记忆、历史智慧与文化基因,价值无可估量。随着我国考古事业的发展,文物数量逐年增长。
然而在漫长的历史长河中,由于地震、海啸、干旱及洪涝等自然灾害及盗窃、刻划等人为因素,以及环境应力、生物降解、材料自身老化等多种复杂因素作用,文物不可避免地发生结构性破损、材料性能退化、信息载体损毁等严重劣化现象,因此人类很早就有保护文物的意识,开展了古遗址、古建筑修缮和古器件修复工作,如青铜器、木质文物、铁器文物等2-3
胶接技术是文物修复和保护常用的重要方法之一。对于断裂、碎裂的文物,粘接是唯一能够恢复其结构完整性的技术手段,使残片重新获得力学承载能力。胶接技术的原理是通过胶接材料在被粘材料表面润湿和固化形成面连接传递应力,不仅可以把两个物体连接在一起,也可以把细小的纤维和粉体粘在一起形成复合材料,还可以在物体表面粘接形成涂层。胶接作为三大连接技术(机械连接、焊接和胶接)之一,具有工艺温度低、可密封、面积连接、可适应于不同材质和形状、对被粘材料损伤小等特点,因此在文物修补粘接、封护加固等方面发挥了极其重要的作用4
从材料发展过程来看,胶粘剂经历了从天然胶粘剂到合成胶粘剂的过程。最初人们选用淀粉、虫胶、皮胶、桃胶、大漆、油脂等天然有机质材料,应用于文物保护。例如,中国古代工匠用大漆和虫胶修复青铜器,取动物血混合油脂对壁画补色等5。随着煤化工、石油化工的发展,合成胶粘剂应运而生,满足了现代制造业发展需求。相对于天然胶接材料而言,合成胶粘剂具有种类多、性能可调范围广、耐湿热和环境性能优、工艺简单等特点,如常用的环氧树脂、丙烯酸树脂、有机硅树脂、氟树脂、聚氨酯等材料,它们性能稳定、耐候性优良,在近现代文物保护工作中发挥了重要作用6
2024年修订的《中华人民共和国文物保护法》明确指出:文物工作贯彻“保护为主、抢救第一、合理利用、加强管理”的方针,在文物面临损坏风险时及时抢救,同时合理进行修复工作。修复工作同时要求遵循最少干预原则、可逆性原则、修旧如旧原则、可识别原则和安全耐久性原则2。然而在许多高新技术领域应用的高性能胶接材料却很难直接应用于文物保护。本文基于作者多年从事胶接材料研究认知,结合古建筑加强、文物修复、土遗址保护等问题,从材料分类、结构和应用入手,论述了文物保护用胶接材料应用现状,并分析了当前传统胶粘剂向文物保护材料转变的难点与矛盾,提出了现代胶粘剂向文保材料转变的思路,展望了学科交叉对于文物修复用胶接材料发展的意义。

1 文物保护用胶接材料研究现状

胶接材料在文物修复、保护中的应用历史悠久,影响深远。目前使用的文物保护胶粘剂大致包括有机胶粘剂和无机胶粘剂两大类,其中有机胶粘剂可分为天然胶粘剂和合成胶粘剂。

1.1 天然胶粘剂

天然胶粘剂是以天然有机化合物为主要组分的胶凝材料,是人类最早使用的胶粘剂,因其无毒、价格低廉、便于制备、工艺简单等优点,广泛应用于文物保护领域。常用的天然胶粘剂包括鱼鳔胶、桃胶、薄荷醇、淀粉糊及动物胶7-8

1.1.1 鱼鳔胶

鱼鳔胶指黄鱼、鳕鱼鱼鳔经过加工处理后得到的胶料,主要成分是水解胶原蛋白。水分挥发后胶原蛋白分子聚合并固化形成粘接。由于含有大量氢键,对于木材、陶瓷、纸张、皮革等材料具有较高粘接强度9
除粘接强度高外,鱼鳔胶能够长期使用的主要原因是其具有可逆粘接性。用鱼鳔胶粘接好的结构件经过热水浸泡,鱼鳔胶中的胶原蛋白及多种氨基酸能够被水溶解,同时与木质基材之间的氢键相互作用也会破坏,胶质软化后能够去除,降温后鱼鳔胶又恢复黏性,满足文物保护胶粘剂要求。
庞坤玮10曾对应县木塔修复工程中鱼鳔胶种类的选取、施胶工艺、胶液质量分数、胶层厚度等参数分析,为应县木塔的残损构建修复提供了一定的理论指导。此外,故宫博物院文保科技部也曾使用鱼鳔胶对景泰蓝面紫檀方凳进行修复11。付柳等12比较了几种漆木器文物修复用胶粘剂的力学性能、抗老化性能,在虫胶、骨胶、环氧树脂、白乳胶和鱼鳔胶中,以浓度50%鱼鳔胶具有较强抗老化性、较高的布条剥离强度以及最好的柔软度,在固化12 h后表现出对松木块良好的粘接效果(见表1)。
表1 几种修复漆木器用胶粘剂性能比较12

Table 1 Comparation of properties of several adhesives for restoration of lacquered wooden artifacts12

评价指标 鱼鳔胶 骨胶 虫胶 白乳胶 环氧树脂
固化时间 12 h 12 h 12 h 12 h 5 min
木块拉伸强度 较强 中等
布条剥离强度 较强 较强 中等
布条柔软度 柔软 较硬 脆、硬 脆、硬
老化后粘接强度变化 变化小 较稳定 较稳定 变化大 变化最大

1.1.2 桃胶

桃胶是蔷薇科植物桃树树皮分泌出来的红褐色胶质,主要成分是单糖、多糖及其衍生物,单糖主要包括半乳糖、甘露糖、葡萄糖醛酸等,多糖主要是阿拉伯半乳糖型多糖,为具有大量羟基和羧基的天然多糖13-14。作为一种水溶性文物修复胶粘剂,桃胶水溶液可作为墓穴壁画揭取的可逆加固剂。李蔓等15在邯郸磁县一座北宋早期墓葬壁画揭取工作中应用桃胶纱布,成功揭取了该墓葬壁画。

1.1.3 薄荷醇

薄荷醇由薄荷茎叶经过蒸馏所得,化学式是C10H12O,结构式见图1。相比于传统的环十二烷、石膏和聚氨酯泡沫等材料,薄荷醇具有室温挥发、可逆去除、价格低廉、原料广泛的优点,使其广泛应用在墓葬壁画的临时加固中16
图1 薄荷醇的结构式

Fig.1 Structural formula of menthol

Han等17在秦始皇兵马俑考古发掘现场一号坑的实地工作中,使用薄荷醇对一个彩色陶马头和青铜箭加固处理(见图2)。韩向娜等18对薄荷醇揭取墓穴壁画的渗透性、施工工艺、揭取温度进行了系统研究,并对西安长安县一座墓葬壁画成功揭取(见图3)。
图2 薄荷醇加固陶质文物、青铜器文物17

a—刚出土的陶马头; b—薄荷醇加固后的陶马头; c—刚出土的青铜箭; d—薄荷醇整体加固青铜箭。

Fig.2 Reinforcement of terracotta and bronze cultural relics with menthol17

图3 薄荷醇揭取壁画过程图18

a—加固揭取的壁画文物; b—贴敷薄荷醇纱布; c—加固后揭取壁画; d—薄荷醇纱布整体揭取壁画背面。

Fig.3 Menthol⁃based mural extraction process diagram18

1.1.4 淀粉胶粘剂

天然淀粉的主要化学成分是以葡萄糖为单元的聚合物。相比于白乳胶、聚乙烯醇(PVA)胶水,淀粉糊具有可逆性粘接的优势,其粘接原理是淀粉分子链中羟基等基团与纸质文物中纤维素、半纤维素中极性基团形成氢键相互作用,形成糨糊-纸张界面超分子相互作用粘接19
抗菌性是传统淀粉糊胶粘剂的一大痛点,湿度较大地区面临着纸质文物及其修复件的发霉、长菌病害,因此开发了多种改性的淀粉糊胶粘剂,包括滑石改性淀粉糊、明矾改性淀粉糊及其他多种中药成分对淀粉糊的改性工作20-22

1.1.5 骨胶

以动物骨、筋皮为原料,经过萃取、过滤、蒸发后得到的含有低纯度明胶肽蛋白质的胶液称作骨胶,成膜后胶膜富有弹性,但是遇水会溶胀,使胶层失去粘接强度,不适用于温湿度过高的文物修复场景,这也极大地限制了骨胶在文物保护中的应用12。张天星等23使用25%(质量分数)骨胶对不同结构地仗层加固,结果表明结构较粗糙的地仗层有利于骨胶粘结强度增加,这是由于粘接的机械互锁起到了主要作用。

1.2 合成胶粘剂

合成胶粘剂是以树脂、橡胶为主要组分的胶凝材料,因其具有性质稳定、耐化学腐蚀、使用期长、易于制备等优点,广泛应用于航空航天、兵器制造等军民用产品中24。因文物保护对胶接材料有诸多使用要求,如最小干预原则、可再处理原则和安全耐久原则等,因此合成胶粘剂在文物保护中使用受限,文物修复常用合成胶粘剂包括环氧树脂、丙烯酸树脂、有机硅树脂和聚氨酯树脂。

1.2.1 环氧树脂

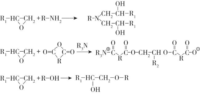
环氧树脂是一类分子中含有两个或两个以上环氧基团的低聚物,其中环氧基团可以通过开环加成或自聚生成不溶、不熔的三维网状结构,具有很高的粘接强度和抗蠕变性能,主要用于工程和结构粘接。
环氧树脂固化剂主要含有多元胺和酸酐小分子,反应机理如图4 25所示。
图4 环氧树脂的固化机理25

Fig.4 Curing mechanism of epoxy resin25

李小波26在修复晋祠铸铁雄狮时,用环氧树脂灌注粘接,见图5。马立治27在修复青铜圆鼎盖钮中浇筑了815环氧树脂,见图6。Lu等28使用丁香酚、环氧氯丙烷、二硫醇和4,4′⁃二氨基二苯基甲烷(DDM)作为原料,制备了一种光致发光环氧树脂,应用于爵粘接修复。
图5 越牌坊前铸铁雄狮26

a—铁狮修复前; b—铁狮修复后。

Fig.5 Male lion in front of Yue archway26

图6 青铜圆鼎盖钮修复27

a—石膏翻模; b—815环氧树脂浇筑; c—脱模; d—粘接补色。

Fig.6 Restoration of the lid knob of a bronze round tripod27

然而通用型环氧树脂往往同时面临热氧老化、湿热老化、紫外老化及化学介质腐蚀老化,导致环氧树脂使用寿命减少、粘接强度大幅下降,因此文物保护工作者针对不同文物修复保护场景对环氧树脂进行了改性研究。栾晓霞等29向水性环氧树脂中添加硅酸盐进行改性,并成功用于山西大同云冈石窟的砂岩保护中,当环氧树脂与硅酸盐比例为1∶0.4时,使用该防护剂处理后的砂岩石材试件在去离子水中浸泡20天后无变化,保护效果较好。

1.2.2 有机硅树脂

有机硅树脂是一类以Si—O—Si交替相连组成骨架,不同有机基团与硅原子相连构成的聚合物的统称,具有优良耐候性、保光性、热氧化稳定性、抗紫外老化性等性能30
有机硅树脂应用于文物保护时需要经过水解、缩聚、凝胶化3个过程,见图7。其中水解通常是指水与烷氧基硅烷反应生成硅醇的过程;缩聚是指烷氧基硅烷单体与硅醇或两个硅醇脱水反应的过程,该过程中有大量硅氧硅键形成;凝胶化是指随着缩聚反应程度的提高聚合物形成凝胶的过程,该过程中生成的烷基聚硅氧烷在文物缺陷处沉积形成硅氧硅键,可将因外界自然风化而松散的碎片有效连接,实现加固31
图7 有机硅水解及缩聚机理

Fig.7 Hydrolysis and condensation mechanism of organosilicon

杨隽永等32通过试块常规渗透加固方法,研究了不同材料对印山越国王陵墓坑边坡岩石试块的加固效果。其中,正硅酸乙酯对岩石试块加固效果最好,如图8,墓坑边坡加固完成后,岩石表层强度增加,碎石崩塌现象减少。
图8 加固印山越国王陵墓坑边坡岩石32

a—加固前; b—加固后。

Fig.8 Reinforcement of slope rocks in the Tomb Pit of Yinshan Royal Tomb of the Yue State32

柴肇云等33使用有机硅GJ657(美国道康宁公司,主要成分为聚硅氧烷)改性山东龙口矿区岩样,如图9,有效地改变了岩样表面特性,减少了裂隙数量。
图9 加固山东龙口矿区岩样33

a—改性后岩样; b—改性前; c—改性后。

Fig.9 Reinforcement of rock samples in Longkou mining area, Shandong33

硅树脂是由硅氧硅形成的主链,每个硅原子又可以连接不同的有机基团,根据有机基团与氧原子比例形成硅橡胶、硅树脂和有机硅防水剂。但是有机硅属于有机-无机杂化材料,其中的硅氧硅链可以被强碱、酸水解断链并重排,这也是应用中应注意的问题。

1.2.3 聚氨酯

聚氨酯树脂是一类以异氰酸酯和醇为原料,通过逐步聚合形成的以氨基甲酸酯键为主要结构单元的聚合物,软段的分子链赋予聚氨酯柔性与弹性,硬段刚性结构赋予聚氨酯一定的机械强度,因此在纸质文物防护方面,聚氨酯具有潜在的应用前景34-35。单一的聚氨酯具有不耐紫外、易老化、易黄变等缺点,严重影响了纸质文物外观及本体强度,因此研究人员选择多种聚氨酯的改性方法,其中包括纳米粒子改性聚氨酯、有机硅改性聚氨酯和环氧改性聚氨酯等36。夏蔓等37采用原位聚合方法合成纳米二氧化硅-水性聚氨酯,如图10涂布成膜后保护膜的紫外透过率达到全波段20%以下,当二氧化硅的添加量为0.5%时,聚氨酯覆膜的纸张的撕裂度相比原来提高了200%以上。
图10 纸张加固37

a—原纸; b—纸张涂覆二氧化硅-聚氨酯保护液后; c—经过紫外可逆实验后的(涂覆保护液)纸张。

Fig.10 Paper reinforcement37

金姗姗等38使用二氧化硅改性聚氨酯、有机硅改性聚氨酯和环氧环己烷-环氧氯丙烷基聚氨酯,比例为3∶3∶2共混制备了纸质文物加固液,加固后纸张耐折度明显提高,且对纸质文物外观没有明显影响,见图11
图11 纸质文物加固38

a—原纸张; b—混合加固液加固后的纸张。

Fig.11 Reinforcement of paper cultural relics38

聚氨酯通过调节软硬段结构、扩链剂类型和比例调控性能,可以形成弹性粘接,也可以形成高强度刚性粘接,可调范围广。但链节结构是氨基甲酸酯键,容易水解断裂,尤其是有酸碱和霉菌作用下,另外有些聚氨酯的耐紫外线能力不足,容易黄变。

1.2.4 丙烯酸酯

丙烯酸树脂是由丙烯酸酯类和甲基丙烯酸酯类共聚形成的主链不存在不饱和结构且支链为酯结构的化合物,主链上碳碳单键结构决定了丙烯酸树脂在某种程度上具有一定的稳定性,在防止文物腐坏、修复成膜、保持文物原有色调以及安全使用保证等方面有很大优势39。聚丙烯酸酯类胶粘剂既可以配成双组分胶粘剂(如“哥俩好”、蜜月胶、AB胶等),又可配成紫外光固化胶粘剂,还可以用线性聚合物配制成溶剂型,应用比较广泛。近几年常用的B72就属于溶剂型丙烯酸酯类胶粘剂,如图12。因其基本不会改变文物表观被广泛应用于壁画、陶瓷、青铜器甚至泥塑等多类文物保护工作中,原因是B72外观无色透明,是一种典型的热塑性材料。然而,在实际应用过程中,文物保护人员发现,单一组分的B72存在明显缺陷,其中对紫外光的不良响应最显著40。为改善这一缺陷,文物保护人员通过多种改性方式增强其耐紫外能力,希望最大限度实现对文物的有效保护。
图12 B72结构式

Fig.12 Structural formula of B72

不同浓度B72具有不同的文物修复效果,赵慧群41针对陶瓷文物修复场景列举了梯度浓度的B72分别应用于粘接与补全(50%)、封护(5%~10%)、加固(1.5%~10%),并使用35%的B72丙酮溶液按照一定比例加入滑石粉作为陶质文物补全剂,如图13
图13 陶碗文物的补全后实物图41

Fig.13 Picture of the restored pottery bowl cultural relic41

然而,研究表明B72容易受到紫外线和湿度等环境因素影响,在潮湿环境中表面会发生微生物病害,因此研究人员开始使用纳米粒子对B72改性。刘俊莉等42使用100~200 μm的单宁酸-铜纳米片与B72进行物理共混,纳米填料添加量为2%(质量分数)时,材料水接触角提升至87.7°,对大肠杆菌和金黄色葡萄球菌的抗性明显提升。
RHOPLEX N⁃580是一种丙烯酸乳液,周麟麟等43证实,RHOPLEX N⁃580用量为3%或B72(乙酸乙酯/乙醇)溶液用量为2%~5%时,可以对无机底层彩绘陶器实现有效加固(图14)。
图14 彩绘文物加固43

a—彩绘层加固; b—加固后的彩绘陶马。

Fig.14 Reinforcement of painted cultural relics43

2 文物保护用胶粘剂面临的挑战与对策

基于文物修复对胶接材料的最小干预、可再处理性、可识别及安全耐久等特殊要求,目前在现代高新领域获得了广泛应用的胶粘剂很难满足文物粘接修复要求,面临诸多挑战,难以直接套用,具体体现在粘接性能、工艺性能、功能性能、耐久性能和环境经济性能5个方面,如图15所示。
图15 文物保护用胶粘剂的问题与挑战

Fig.15 Issues and challenges for the use of adhesives in cultural relic protection

表面处理方式受限。对于传统粘接技术,提高粘接性能可以通过多种形式的表面处理方式获得,包括化学镀44、阳极氧化45、抛光46等;还可以通过胶接接头设计,包括对接47、斜接48、嵌接49等方式。但是针对石质文物、壁画和青铜器文物质地脆弱,文物表面已有的损坏情况,遵循最少干预原则,不允许在脆弱、易损文物上进行表面处理,并且设计文物基材胶接接头的可能性很小,这是存在的问题之一。
固化工艺受限。传统胶粘剂工艺性可以通过灵活的固化方式择优,包括但不限于加温固化50、湿气固化51、UV固化52,同时可以控制胶层厚度、胶液黏度及溶剂种类53,工艺灵活。考虑到最少干预原则,对不可移动文物保护则要求胶接材料能够原位、室温固化54;对纸质文物、金属文物,则需要常温常压加固55;出于施工人员安全考虑,应尽量选择无毒性溶剂或避免使用有机试剂,这是第二个难题。
功能性要求特殊。传统应用场景对服役的胶粘剂功能有众多要求,包括疏水56、阻燃57、防伪58、吸波59、自修复60等性能,通常对胶膜颜色、透光率没有需求。考虑到可识别原则、可再处理原则,文物学科要求修复胶粘剂要满足可逆拆卸、易于识别以及一定的光学透明度且具备一定的防护性能,单一树脂基体的防护性能较差,无法满足文物保护材料性能要求,采取改性手段例如添加纳米颗粒又一定会导致可逆性、透光率下降问题,这是目前传统胶粘剂没有考虑到的问题。
安全耐久要求较高。传统胶粘剂服役环境多数是水、氧、光、热化学等条件下的极端环境,性能要求较为苛刻,难以达到文物要求的胶接材料与文物同寿命或延长文物寿命的要求,难以满足安全耐久原则,这是第四大矛盾。最后,从环境经济角度出发,传统胶接材料需要考虑生产成本及社会成本,考虑领域未来发展趋势,综合多方面因素生产胶粘剂,而贵重文物则暂时不考虑环境经济性,以保护文物为先。

2.1 文物保护用胶粘剂转变面临的挑战

2.1.1 配方、工艺、结构与性能关系相互作用机制不明确

传统胶粘剂材料大多数源自人工合成材料,可以为科研实验验证工作提供充足的试验样品,这使得人们的探究工作从“黑箱”转变到“白箱”较为可行、便于实现。相比而言,由于文物数量有限、具有极高的社会历史价值与人文价值,其本身的珍贵意义使得人们难以使用真正的文物去做粘接、加固及封护材料的验证性试验。为探究文物保护材料的构效关系,研究人员多数选择仿古材料作为文物替代品进行试验,进一步探究“灰箱体系”本体结构中的一级结构(基体树脂及固化剂决定的链节结构)、二级结构(固化形成的堆积和相态结构)和三级结构(填料分散、微纳米结构与功能结构),以及对界面基材特性与表面处理方法的考量61,如图16。由于仿古材料与真正文物材料之间的差异难以避免,大量使用仿古样品验证出来的保护材料性能难以完全贴合文物,难以实现从“灰箱体系”到“白箱体系”转变,最终导致配方、工艺、结构与性能关系相互作用机制不明确,是传统胶粘剂向文物保护用胶粘剂转变所面临的一大挑战。
图16 胶粘剂的“灰箱”示意图

Fig.16 Gray box schematic diagram for adhesive

2.1.2 失效场景再现及失效机理分析不明确

失效模式与失效机理研究是军民用胶粘剂在研发过程中必须考量的一大环节,包括环境、施工工艺、温湿度等因素的综合影响和失效场景再现62。研究胶粘剂失效机理的第一步是通过凝胶渗透色谱(GPC)、傅里叶红外光谱(FT-IR)、核磁共振波谱(NMR)等手段表征胶粘剂本体结构的变化,确定胶粘剂类型与基材种类的粘接可靠性,得到失效的初步判断。其次,研究通过表征胶粘剂对基材粘接强度、胶粘剂断裂伸长率、吸水率和线膨胀系数(CTE)得到胶粘剂基本性能对粘接基材的影响规律。除此之外,胶粘剂的热力学性能对研究胶接失效机理是十分重要的,通过热失重分析(TGA)与红外光谱联用、动态热力学分析(DMTA)研究胶粘剂玻璃化转变温度和热失重温度,便于明确胶粘剂的热稳定性与胶接失效之间的关系。通过扫描电子显微镜(SEM)和能量色散X射线谱(EDS)来表征胶粘剂结构状态及填料形貌、分散均匀程度,完善对胶粘剂结构与性能的关系研究和填料对胶粘剂性能的影响规律,最终探究胶接接头破坏形式(胶粘剂内聚破坏、粘附破坏、被粘材料内聚破坏及混合破坏4种形式,见图17)与老化条件的关系。最终通过人为施加因素,包括湿热老化、紫外老化、冲击、压缩等致使失效场景再现,得到胶粘剂失效机理及导致失效的因素,完成胶接材料失效机理分析,如图18
图17 胶接接头破坏类型

a—胶粘剂内聚破坏; b—被粘材料内聚破坏; c—粘附破坏; d—混合破坏。

Fig.17 Failure modes of bonded joints

图18 失效机理研究内容

MALDI⁃TOF—质谱分析;LCMS ESI—液质联用;DSC—差式扫描量热仪。

Fig.18 Failure mechanisms

文物千百年来在不可控、不知全貌的环境中得以遗存,在水、热、风、光、微生物等多种因素的共同作用下,相似材质的文物个体之间具有较大的差异性,难以保证针对某一文物进行的修复材料、施胶工艺、固化时间的一整套体系能适用于另一相同材质的文物63。这种限制性使得研究文物保护用胶粘剂的失效机理更加困难、失效场景更难复刻,是军用、民用胶粘剂向文物保护应用转变的第二大挑战。

2.2 文物保护用胶粘剂转变的策略

尽管军民用胶粘剂由于经验和理论的匮乏难以实现向文物保护领域应用的完美转变,具备丰富粘接经验和相关知识的研究人员通过“输入”粘接性能、工艺性能、功能性能、耐久性能及环境经济性能五大参数,经过分析、推理、比较“输出”了文物保护用胶粘剂选择、接头设计加工、表面处理、粘接工艺等方案,经过实验室研究及文物应用场景模拟实验不断迭代、归纳整理,最终形成了规范文件,如图19,为军民用胶粘剂向文物保护应用的转变提供了解决思路。
图19 研究胶接材料的基本流程图

Fig.19 Basic flow chart of research on adhesive materials

2.2.1 具有可控粘接功能的胶接材料

文物保护可用、具有可控粘接功能材料要求胶粘剂有良好的粘接强度和耐久性,又要能拆卸,实现可控粘接,还要具有良好的工艺性。热固性与热塑性胶粘剂之间的转变可以通过可逆反应设计和制备功能聚合物实现,多数依赖于动态化学键,例如Diels⁃Alder键64、二硫键65、酯键66、亚胺键67等。本课题组前期研究了紫外光可逆胶粘剂和热可逆胶粘剂,沈丽娇68使用9⁃蒽基甲酸烯丙基酯通过光环加成反应和硫醇-烯点击反应制备了蒽基硫醇-烯网络,如图20所示,紫外可控粘接实验证实该聚合物网络胶粘剂具有优异的粘接强度并具有脱粘-重复粘接响应。Dong等69设计引入了酸酐作为酯键供体,制备了基于酯交换反应的高性能动态环氧共价网络;此外,在网络中进一步引入Zn2+⁃咪唑金属配位键,利用其促进动态交换反应、能量耗散的特点,进一步制备了具有优异的机械性能、动态交换性能的高性能环氧vitrimer材料,并且将其应用于热可拆卸结构胶粘剂、可降解材料,有望应用于文物保护使用的可拆卸胶粘剂。
图20 蒽基硫醇-烯网络紫外可控原理图68

Fig.20 Schematic diagram of the UV⁃controlled mechanism for the anthracenyl thiolene network68

2.2.2 具有长寿命、强耐久性能的胶接材料

常用的文物保护用丙烯酸类、有机硅封护材料对馆藏文物保护都具有显著效果,但其耐老化性及耐候性还不能很好满足室外不可移动文物长期保存要求。韩雁明70在有机碱催化下,使用聚甲基氢硅氧烷(PMHS)室温脱氢得到侧甲氧基聚硅氧烷(PMOS),PMOS通过甲氧基水解缩合反应,可以在室温下固化形成具有高交联密度的材料,有望应用于石质文物加固、疏水保护。

2.2.3 具有自修复、自愈合功能的胶接材料

具有自修复、自愈合功能的胶接材料在文物防护中具有重要价值,当被保护好的文物再次遭到破坏时,自愈合功能使封护涂层可以通过修复剂的释放在开裂和破损处修复涂层,使涂层保持完整性,涂层仍具功能性,还可以通过向胶粘剂树脂中引入动态共价键,实现胶粘剂本征自愈合,防止文物受到二次侵害71-73。李玉涵74使用硫醇-烯点击化学合成了含疏水侧链的聚氨酯,将其引入到亲水性聚氨酯预聚体中,成功制备了具有双亲性结构的水下粘接剂,在水下粘接的木材具有2.016 MPa粘附强度,有希望应用于水下木质文物提取。

3 文物保护用胶接材料的发展趋势

在文物保护工作持续革新的当下,交叉学科的深度交融展现出独特优势,其中胶粘剂创新应用堪称典范。材料学科与化学学科的跨界合作,通过剖析传统胶粘剂的分子结构,研发出一系列具有高粘合力与低化学活性的新型材料,既满足文物修复牢固度要求,又有效规避因化学侵蚀对文物本体造成的损害;仿生学与生物学的介入,则从自然界生物粘附现象中汲取灵感,促使胶粘剂性能与文物原始材质更为适配;与此同时,文物学基于历史文化价值的考量,为胶粘剂选择与使用提供了明确指导框架,保障修复过程能够遵循最小干预原则,最大限度保留文物的历史与艺术信息。
这种多学科知识的有机整合,使胶粘剂功能从单纯的物理修复延伸至文化遗产的传承与延续,为文物保护事业开辟了全新路径。基于本课题组现有功能胶接材料的研究基础,可筛选有极大潜力应用于文物保护的材料,包括相变储能材料75、超疏水PMOS等76,如图21
图21 实验室成果转换案例75-76

Fig.21 Successful cases of laboratory transformation75-76

胶接材料和粘接技术在文物保护和修复领域具有重要作用,但尚存许多基础和工艺问题亟待解决。围绕构效关系、结构设计与制备、功能复合与评价三大科学问题,通过系统性基础研究和技术创新,形成新理论、方法、技术和材料,是解决文物保护和修复领域用胶接材料所面临挑战的根本方法。根据需求牵引,借鉴其他学科已有成果和经验,形成系列化的胶接材料体系、规范、标准,是未来发展方向。
[1]
李袁婕.《文物保护法》第二次修订中有关问题的理解与适用探析[J]. 故宫博物院院刊20254:143-159.

LI Y J. Analysis on the understanding and application of relevant issues in the second revision of cultural relics protection law[J]. Palace Museum Journal20254: 143-159. (in Chinese)

[2]
李袁婕.《文物保护法》第二次修订的主要背景、内容和新课题[J].中国文物科学研究2024(4):6-16.

LI Y J. Main background, content and new issues of the second revision of cultural relics protection law[J]. China Cultural Heritage Scientific Research2024(4):6-16. (in Chinese)

[3]
李辉. 文物保护法修改若干问题之刍议[J]. 中国文化遗产20253:30-37.

LI H. Discussion on several issues in the revision of the cultural relics protection law[J]. China Cultural Heritage20253: 30-37. (in Chinese)

[4]
殷勇. 聚四氟乙烯复合材料及其接头的设计理论与应用研究[D]. 南京:南京工业大学,2002.

YIN Y. Research on design theory and application of polytetrafluoroethylene composites and their joints[D]. Nanjing: Nanjing Tech University, 2002. (in Chinese)

[5]
曹婧婧. 壁画颜料层加固材料研究进展[J]. 常州文博论丛2020:103-108.

CAO J J. Research progress on reinforcing materials for mural pigment layers[J]. Journal of Changzhou Museum Studies2020: 103-108. (in Chinese)

[6]
兰德省,周铁,夏寅,等. 古代陶质文物粘接剂筛选初步研究[J]. 秦始皇帝陵博物院2013:451-463.

LAN D S ZHOU T XIA Y, et al. Preliminary study on the screening of adhesives for ancient ceramic relics [J]. Emperor Qinshihuang’s Mausoleum Site Museum2013: 451-463. (in Chinese)

[7]
贾梅. 油画修复中现代化科研设备及新材料的应用[J].文物修复与研究2016(00):294-299.

JIA M. Application of modern scientific research equipment and new materials in oil⁃painting restoration [J]. Journal of Conservation and Restoration of Cultural Relics2016(00):294-299. (in Chinese)

[8]
杨璐,王丽琴,黄建华,等. 文物胶料鱼鳔胶的红外光谱,拉曼光谱及氨基酸分析[J]. 西北大学学报(自然科学版)201141(1):63-66.

YANG L WANG L Q HUANG J H, et al. Infrared spectroscopy, Raman spectroscopy and amino acid analysis of fish⁃bladder glue as a cultural relic adhesive [J]. Journal of Northwest University (Natural Science Edition)201141(1): 63-66. (in Chinese)

[9]
庞坤玮. 鱼鳔及其鱼鳔胶粘剂(二)鱼鳔胶粘剂[J]. 中国胶粘剂200211(2):16-19.

PANG K W. Fish⁃bladder and its adhesive (part 2): fish⁃bladder adhesive [J]. China Adhesives200211(2): 16-19. (in Chinese)

[10]
庞坤玮. 鱼鳔胶粘剂在木构件修复中的应用[J]. 太原理工大学学报200233(4):438-440. (in Chinese)

PANG K W. Application of fish⁃bladder adhesive in the restoration of wood components [J]. Journal of Taiyuan University of Technology200233(4): 438-440. (in Chinese)

[11]
刘恺. 故宫藏景泰蓝面紫檀方凳的修复研究[J]. 中国文物科学研究2018(2):52-57.

LIU K. Research on the restoration of the rosewood square⁃stool with cloisonné surface in the Palace Museum [J]. China Cultural Heritage Scientific Research2018(2): 52-57. (in Chinese)

[12]
付柳,何秋菊,周华. 漆木器文物修复用胶粘剂筛选研究[J]. 中国文物科学研究2022(4):63-70.

FU L HE Q J ZHOU H. Screening research on adhesives for the restoration of lacquered wood cultural relics [J]. China Cultural Heritage Scientific Research2022(4): 63-70. (in Chinese)

[13]
ZENG S LONG J SUN J, et al. A review on peach gum polysaccharide: hydrolysis, structure, properties and applications[J]. Carbohydrate Polymers2022279: 119015.

[14]
SUN X ZHANG B CHEN W. Electrochemical chip combined with immunomagnetic beads enrichment for the detection of peach gum binding medium in ancient wall paintings[J]. Analytical Letters202356(18): 2869-2881.

[15]
李蔓,赵学峰,申慧玲,等. 河北磁县北宋墓葬壁画保护与修复浅谈[J]. 文物保护与考古科学201729(2):100-104.

LI M ZHAO X F SHEN H L, et al. A brief discussion on protection and restoration of Northern Song Dynasty tomb murals in Ci county, Hebei[J]. Sciences of Conservation and Archaeology201729(2): 100-104. (in Chinese)

[16]
冯丹,齐孝蕾,郝健,等. 薄荷醇作为临时固型材料在文物保护中的应用[J]. 文物保护与考古科学202032(2):112-117.

FENG D QI X L HAO J, et al. Application of menthol as a temporary fixative material in cultural relic conservation[J]. Sciences of Conservation and Archaeology202032(2): 112-117. (in Chinese)

[17]
HAN X RONG B HUANG X, et al. The use of menthol as temporary consolidant in the excavation of Qin shihuang’s terracotta army[J]. Archaeometry201456(6): 1041–1053.

[18]
韩向娜,张秉坚,罗宏杰,等. 薄荷醇在墓葬壁画抢救性揭取上的应用研究[J]. 敦煌研究2016(5):142-149.

HAN X N ZHANG B J LUO H J, et al. A study on the use of menthol in the emergency removal of tomb murals[J]. Dunhuang Research2016(5): 142-149. (in Chinese)

[19]
周发. 硫酸化及羧甲基化枸杞叶多糖对马铃薯淀粉糊化特性影响[D]. 北京:北京林业大学,2020.

ZHOU F. Effects of sulfated and carboxymethylated lycium barbarum leaf polysaccharides on the gelatinization properties of potato starch[D]. Beijing: Beijing Forestry University, 2020. (in Chinese)

[20]
樊婧. 画装裱用小麦淀粉糨糊的制作工艺及改性研究[D]. 合肥:中国科学技术大学,2021.

FAN J. Research on the production process and modification of wheat⁃starch paste for painting mounting[D]. Hefei: University of Science and Technology of China, 2021. (in Chinese)

[21]
HOU M ZHANG Q LEI H, et al. Mildew resistant modified starch adhesive by soybean meal flour crosslinking with excellent bonding properties[J]. Carbohydrate Polymers2025354: 123247.

[22]
YU H J XIA Y LIU X T, et al. Preparation of self⁃assembled modified reed fiber reinforced starch⁃based adhesive and the study of cross⁃linking mechanism[J]. Industrial Crops and Products2024211: 118204.

[23]
张天星,吴智慧,孙湉. 骨胶在古代大漆家具修复加固中的粘结强度分析[J]. 涂料工业201949(6):63-67.

ZHANG T X WU Z H SUN T. Analysis of the bonding strength of bone glue in the restoration and reinforcement of ancient lacquered furniture[J]. Paint & Coatings Industry201949(6): 63-67. (in Chinese)

[24]
蒲艳玲. 合成胶粘剂的研究及应用[J]. 甘肃科技纵横2008(3):44-45.

PU Y L. Research and application of synthetic adhesives[J]. Scientific & Technical Information of Gansu2008(3): 44-45. (in Chinese)

[25]
翟宁辉. 电子级萘基环氧树脂及其高性能石墨烯复合材料的制备与性能研究[D]. 北京:北京化工大学,2023.

ZHAI N H. Preparation and properties study of electronic ⁃grade naphthyl epoxy resin and its high⁃performance graphene composites[D]. Beijing: Beijing University of Chemical Technology, 2023. (in Chinese)

[26]
李小波. 浅谈室外铁质文物的保护修复方法——以晋祠对越牌坊前雄狮保护修复为例[J].文物世界2016 (3):75-78.

LI X B. Discussion on the protection and restoration methods of outdoor iron cultural relics—taking the protection and restoration of the lion in front of the Duiyue Archway in Jinci as an example[J]. World of Antiquity2016(3): 75-78. (in Chinese)

[27]
马立治. 环氧浇注树脂在青铜器补配上的试用——以青铜圆鼎修复为例[J]. 文物鉴定与鉴赏2020(3):75-77.

MA L Z. Trial application of epoxy casting resin in the restoration of bronze ware—taking the restoration of a bronze cauldron as an example[J]. Identification and Appreciation of Cultural Relics2020(3): 75-77. (in Chinese)

[28]
LU C ZOU Q HU K, et al. The preparation, properties, functionality of a eugenol-based epoxy resin for bronze ware repairment[J]. Journal of Polymer Research202229(2): 61.

[29]
栾晓霞,许淳淳,王紫色,等. 改性水性环氧树脂乳液对石质文物的保护效果[J]. 腐蚀与防护2008(8):451-453.

LUAN X X XU C C WANG Z S, et al. Preservation effect of modified water⁃borne epoxy resin emulsion for stone historical relic[J]. Corrosion & Protection2008(8): 451-453.(in Chinese)

[30]
LI X BAO Q CHEN K, et al. Reprocessable flame retardant silicone polyurethane based on dynamic phenylborate ester covalent and N—P—Si synergistic effect[J]. ACS Sustainable Chemistry & Engineering202210(43): 14174-14184.

[31]
王娇. 有机硅材料在石质文物防风化保护中的应用[J]. 陇东学院学报202031(2):46-50.

WANG J. Application of silicone materials in weather⁃ proof protection of stone cultural relics[J]. Journal of Longdong University202031(2): 46-50. (in Chinese)

[32]
杨隽永,万俐,陈步荣,等. 印山越国王陵墓坑边坡化学加固试验研究[J].岩石力学与工程学报201029(11):2370-2376.

YANG J Y WAN L CHEN B R, et al. Experimental study on chemical reinforcement of slope in Yinshan Yue King’s Tomb[J]. Chinese Journal of Rock Mechanics and Engineering201029(11): 2370-2376. (in Chinese)

[33]
柴肇云,郭卫卫,康天合,等. 有机硅材料改性泥岩物性变化规律研究[J]. 岩石力学与工程学报201332(1):168-175.

CHAI Z Y GUO W W KANG T H, et al. Study on variation laws of physical properties of mudstone modified by silicone materials[J]. Chinese Journal of Rock Mechanics and Engineering201332(1): 168-175. (in Chinese)

[34]
KIM J K VARENBERG M. Polyurethane shear⁃activated adhesives: effect of counterface chemistry[J]. ACS Applied Polymer Materials20202(7): 2994-3000.

[35]
GADHAVE R V KASBE P S MAHANWAR P A, et al. Synthesis and characterization of lignin⁃polyurethane based wood adhesive[J]. International Journal of Adhesion and Adhesives201995: 102427.

[36]
XING Y LI X XU J, et al. Organosilicon⁃modified double crosslinked waterborne polyurethane coatings[J]. Progress in Organic Coatings2024190: 108372.

[37]
夏蔓,李豪豪,张力源,等. 纳米SiO2/水性聚氨酯复合液的制备及其在模拟纸质文物保护中的应用[J].中国造纸202342(1):51-58.

XIA M LI H H ZHANG L Y, et al. Preparation of nano⁃SiO2/waterborne polyurethane composite liquid and its application in simulated protection of paper⁃based cultural relics[J]. China Pulp & Paper202342(1): 51-58. (in Chinese)

[38]
金姗姗,王思浓. 纸张与纸质文物脱酸材料近期研究与展望[J]. 化学学报202381(3):309-318.

JIN S S WANG S N. Recent research and prospect of deacidifying materials for paper and paper⁃based cultural relics[J]. Acta Chimica Sinica202381(3): 309-318. (in Chinese)

[39]
XU J JIANG Y ZHANG T, et al. Fabrication of UV⁃curable waterborne fluorinated polyurethane⁃acrylate and its application for simulated iron cultural relic protection[J]. Journal of Coatings Technology and Research201815: 535-541.

[40]
OANCEA A V BODI G CERNESCU A, et al. Protective coatings for ceramic artefacts exposed to UV ageing[J]. npj Materials Degradation20237(1):1-13.

[41]
赵慧群. 丙烯酸树脂B72丙酮溶液在陶瓷文物修复中应用比例研究[J].文物保护与考古科学202032(3):38-48.

ZHAO H Q. Study on application proportion of acrylic resin B72 acetone solution in ceramic cultural relics restoration[J]. Sciences of Conservation and Archaeology202032(3): 38-48. (in Chinese)

[42]
刘俊莉,张华,冯鑫淇,等. 单宁酸-铜改性聚丙烯酸酯文物保护材料的制备及其性能研究[J]. 陕西科技大学学报202442(1):103-108.

LIU J L ZHANG H FENG X Q, et al. Preparation and properties of tannic acid⁃copper modified polyacrylate materials for cultural relic protection[J]. Journal of Shaanxi University of Science & Technology202442(1): 103-108. (in Chinese)

[43]
周麟麟,兰德省,容波. 彩绘陶器保护修复规范化操作初步研究——以山东青州汉墓出土彩绘陶马为例[J]. 文博2009(6):325-331.

ZHOU L L LAN D S RONG B. The research on standardized procedure of conservation and restoration on polychrome pottery——conservation and restoration on the polychrome pottery excavated in a Han Dynasty tomb at Qingzhou, Shangdong Province[J]. Relics and Museolgy2009(6): 325-331.(in Chinese)

[44]
CORDONIER C E J OKABE K HORIUCHI Y, et al. Formation of micrometer scale metal structures on glass by selective electroless plating on photopatterned titanium and copper containing films[J]. Langmuir201733(51): 14571-14579.

[45]
LUKSEPP T KRISTIANSEN K. The influence of water when bonding with heat⁃curing epoxy adhesives on sealed sulphuric acid⁃anodised aluminium[J]. International Journal of Adhesion and Adhesives200929(3): 268-279.

[46]
YANG X ZHONG H ZHANG P, et al. Ladybug inspired double‐layered adhesive with enhanced robustness of surface roughness[J]. Chemistry Select20216(4): 640-646.

[47]
LI H ZHANG J SHEN H Z, et al. Multiaxial fatigue experiments and life prediction for silicone sealant bonding butt⁃joints[J]. Theoretical and Applied Fracture Mechanics2019103: 102245.

[48]
NA J LIU Y CAI L, et al. An adhesive joint strength evaluation method and its application in mechanical engineering[J]. Journal of Adhesion Science and Technology201630(2): 131-144.

[49]
SU Y WANG X LI Z, et al. Experimental study on impact damage resistance and residual compression behaviors of scarf repaired composite plates[J]. Applied Composite Materials202330(3): 887-911.

[50]
JIANG H DU Y WANG J, et al. Enhanced bamboo interfacial bonding performance on the basis of toughening phenol formaldehyde resin by flour[J]. Polymer Composites202344(1): 524-535.

[51]
MOON H PARK J E CHO W, et al. Curing kinetics and structure⁃property relationship of moisture⁃cured one⁃component polyurethane adhesives[J]. European Polymer Journal2023201: 112579.

[52]
KUMAR V OZONO R KISHIKAWA T, et al. Study the shrinkage process of UV⁃curable adhesive using digital holographic interferometry[J]. Optics & Laser Technology2025186: 112746.

[53]
GUO W CHEN P YU L, et al. Numerical analysis of the strength and interfacial behaviour of adhesively bonded joints with varying bondline thicknesses[J]. International Journal of Adhesion and Adhesives202098: 102553.

[54]
YIN C YANG H WANG J, et al. Room⁃temperature curing of cellulose adhesive via freeze⁃thaw⁃induced in situ cross⁃linking for bonding wood or bamboo[J]. ACS Sustainable Chemistry & Engineering202513(9): 3774-3784.

[55]
LIU J XING H ZHOU Y, et al. An essential role of polymeric adhesives in the reinforcement of acidified paper relics[J]. Polymers202214(1): 207.

[56]
LIU M HOU Y LI J, et al. Inorganic adhesives for robust, self⁃healing, superhydrophobic surfaces[J]. Journal of Materials Chemistry A20175(36): 19297-19305.

[57]
CHEN S LI X LI Y, et al. Intumescent flame⁃retardant and self⁃healing superhydrophobic coatings on cotton fabric[J]. ACS Nano20159(4): 4070-4076.

[58]
NING Z ZHAI X WANG G, et al. Sustainable biomass⁃based organic afterglow adhesive for versatile anti⁃counterfeiting applications[J]. Sustainable Materials and Technologies2025: e01473.

[59]
GUO J CHEN Z XU X, et al. Enhanced electromagnetic wave absorption of engineered epoxy nanocomposites with the assistance of polyaniline fillers[J]. Advanced Composites and Hybrid Materials20225(3): 1769-1777.

[60]
LIM D, JEONG M W MIN H, et al. Autonomous self‐healing 3D micro⁃suction adhesives for multi⁃layered amphibious soft skin electronics[J]. InfoMat20246(10): 12603.

[61]
CHEN Z ZHAO M LV Y, et al. Higher heating value prediction of high ash gasification⁃residues: comparison of white, grey, and black box models[J]. Energy2024288: 129863.

[62]
ZHENG G HE Z WANG K, et al. On failure mechanisms in CFRP/Al adhesive joints after hygrothermal aging degradation following by mechanical tests[J]. Thin⁃Walled Structures2021158: 107184.

[63]
徐吉成. 用于文物保护的环境友好紫外光固化水性聚合物材料的制备及性能研究[D]. 镇江:江苏大学,2016.

XU J C. Preparation and performance study of environmentally friendly UV⁃curable waterborne polymer materials for cultural relic protection[D]. Zhenjiang: Jiangsu University, 2016.(in Chinese)

[64]
LI G XIAO P HOU S, et al. Rapid and efficient polymer/graphene based multichannel self⁃healing material via Diels⁃Alder reaction[J]. Carbon2019147: 398-407.

[65]
QIN Z YANG Y TIAN Q, et al. Strain⁃hardening, impact protective and self⁃healing supramolecular polyurethane nanocomposites enabled by quadruple H⁃Bonding, disulfide bonds and nanoparticles[J]. Chemical Engineering Journal2023467: 143434.

[66]
ZHOU X WANG H LI S, et al. Synthesis and application of self⁃healing elastomers with high healing efficiency and machical properties based on multi⁃healing systems[J]. European Polymer Journal2021159: 110769.

[67]
LIN T W HSU S. Self⁃healing hydrogels and cryogels from biodegradable polyurethane nanoparticle crosslinked chitosan[J]. Advanced Science20207: 1901388.

[68]
沈丽娇. 自愈合光交联光可逆三维网络的制备及其可控粘接性能研究[D]. 北京:北京化工大学,2020.

SHEN L J. Preparation of self⁃healing photocrosslinkable photoreversible three⁃dimensional networks and study on their controllable adhesive properties[D]. Beijing: Beijing University of Chemical Technology, 2020. (in Chinese)

[69]
DONG A LIU Q YAO H, et al. Epoxy vitrimer with excellent mechanical properties and high T g for detachable structural adhesives[J]. ACS Applied Materials & Interfaces202517(9): 14578-14590.

[70]
韩雁明. 侧甲氧基聚硅氧烷的制备与性能研究[D]. 北京:北京化工大学,2008.

HAN Y M. Preparation and property study of side⁃methoxy polysiloxane[D]. Beijing: Beijing University of Chemical Technology, 2008.(in Chinese)

[71]
WU K CHEN Y LUO J, et al. Preparation of dual⁃chamber microcapsule by Pickering emulsion for self⁃healing application with ultra⁃high healing efficiency[J]. Journal of Colloid and Interface Science2021600: 660-669.

[72]
LIU X WANG Z, MEN W, et al. Cross⁃linked polyurethane/bimetallic MOF⁃derived composites with electromagnetic wave⁃absorbing, self⁃healing, and recyclable capabilities[J]. ACS Applied Nano Materials20258(5): 2352-2365.

[73]
ZHANG W LI K HAN L, et al. Ultra⁃strength polyurethane/MOF⁃derived composites with self⁃healing and recycling capabilities and highly efficient microwave absorption properties[J]. Journal of Materials Chemistry C: Materials for Optical and Electronic Devices202412(4):13.

[74]
李玉涵. 基于硫醇-烯点击化学接枝非极性侧链的聚氨酯结构设计及性能研究[D]. 北京:北京化工大学,2024.

LI Y H. Structural design and property study of polyurethane grafted with nonpolar side chains based on thiolene click chemistry[D]. Beijing: Beijing University of Chemical Technology, 2024. (in Chinese)

[75]
LI Y FAN Y LIU Z, et al. Photo⁃curable bio⁃based comb/bottle brush epoxy resin/beeswax/copper foam phase change materials with high enthalpy value, high conductivity, and multifunctional properties[J]. Composites Science and Technology2024250: 110506.

[76]
周士恒. 聚倍半硅氧烷气凝胶的制备与性能研究[D]. 北京:北京化工大学,2022.

ZHOU S H. Preparation and property study of polyhedral oligomeric silsesquioxane aerogels[D]. Beijing: Beijing University of Chemical Technology, 2022. (in Chinese)

文章导航

/