引言
1 T型管模化与数值模拟验证
1.1 原型介绍
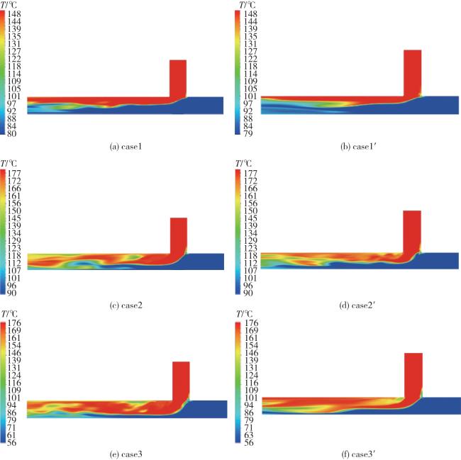
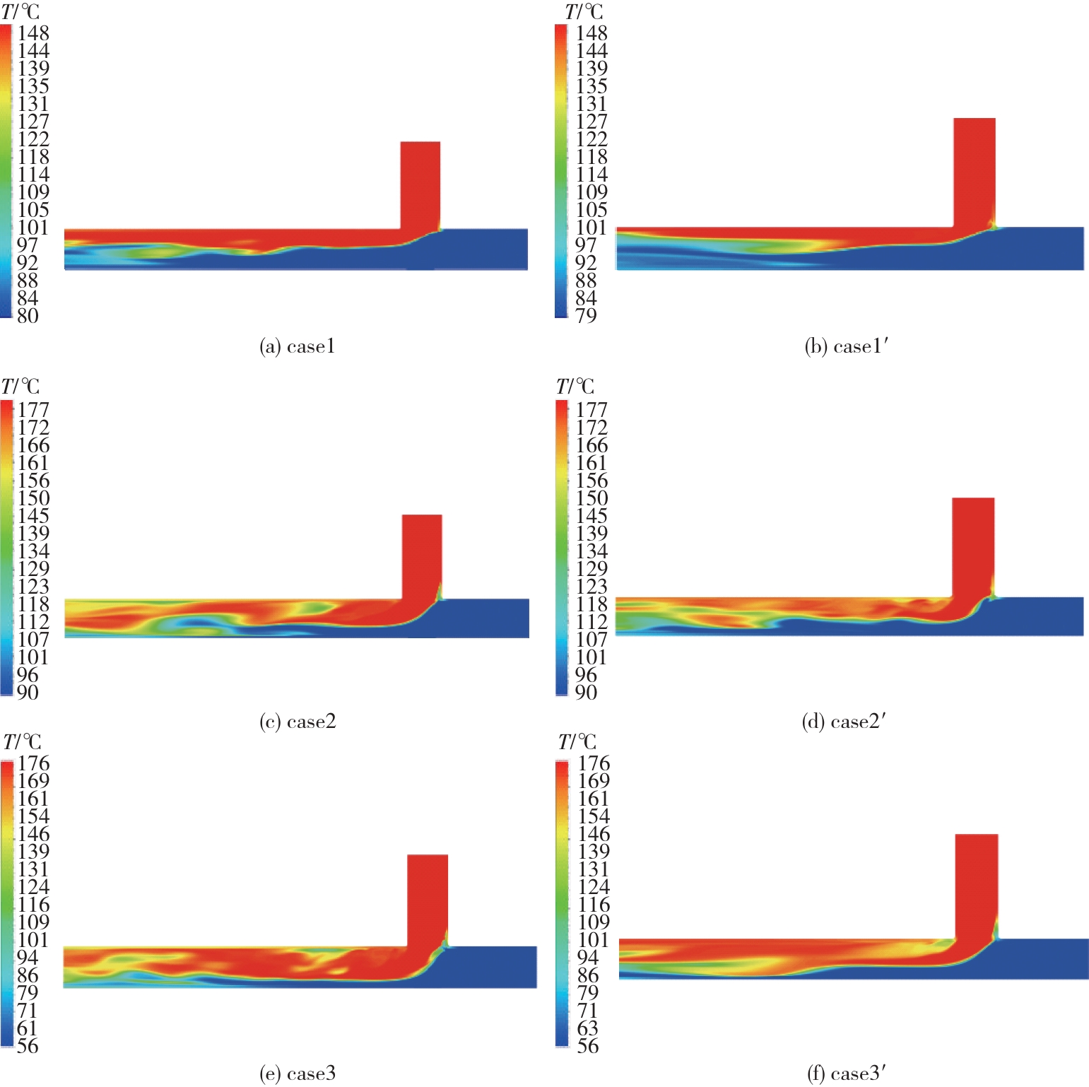
表 1 数值模拟计算工况Table 1 Calculation conditions for the numerical simulation |
| 工况 | 主管温度/℃ | 支管温度/℃ | 主管流速/(m‧s-1) | 支管流速/(m‧s-1) | 动量比 | 流型 |
|---|---|---|---|---|---|---|
| case1 | 79.5 | 150 | 9.112 | 6.626 | 2.39 | 壁面流 |
| case1' | 79.5 | 150 | 4 | 2.92 | 2.39 | 壁面流 |
| case2 | 90.5 | 180 | 5.687 | 10.081 | 0.41 | 偏转流 |
| case2' | 90.5 | 180 | 2 | 3.55 | 0.41 | 偏转流 |
| case3 | 56 | 180 | 1.45 | 3.4 | 0.23 | 冲击流 |
| case3' | 56 | 180 | 2 | 4.69 | 0.23 | 冲击流 |
1.2 模化准则与模化方法
表 2 导热油物性参数Table 2 Physical properties of the heat⁃conducting oil |
| 参数名称 | 数值(说明) | 参数名称 | 数值(说明) |
|---|---|---|---|
| 牌号 | THERMINOL-60 | 倾点 | -17 ℃ |
| 外观 | 透明、浅黄色液体 | 闪点 | 166 ℃ |
| 常态沸点 | 328 ℃ | 自燃点 | 447 ℃ |
| 密度(20 ℃) | 1 011 kg/m3 | 比热(20 ℃) | 1.28 kJ/(kg·K) |
| 密度(200 ℃) | 868 kg/m3 | 比热(200 ℃) | 2.09 kJ/(kg·K) |
| 动力/运动黏度(20 ℃) | 29.6 mPa·s/2.93×10-5 m2/s | 导热系数(20 ℃) | 0.122 5 W/(m·K) |
| 动力/运动黏度(200 ℃) | 0.620 mPa·s/7.14×10-7 m2/s | 导热系数(200 ℃) | 0.109 7 W/(m·K) |
1.3 原型与模型数值验证
1.3.1 三维模型及网格划分
表 3 原型T型管网格划分方案Table 3 Meshing scheme of the prototype T⁃junction |
| 网格编号 | 第一层网格高度/mm | 边界层增长因子 | 边界层/壁面网格层数 | 网格总量 |
|---|---|---|---|---|
| mesh1 | 0.004 | 1.3 | 33/15 | 2 865 214 |
| mesh2 | 0.003 | 1.3 | 33/15 | 5 636 007 |
| mesh3 | 0.003 | 1.3 | 35/15 | 6 930 698 |
表 4 模型T型管网格划分方案Table 4 Meshing scheme of the model T⁃junction |
| 网格编号 | 第一层网格高度/mm | 边界层增长因子 | 边界层/壁面网格层数 | 网格总量 |
|---|---|---|---|---|
| mesh1 | 0.09 | 1.2 | 25/6 | 802 604 |
| mesh2 | 0.06 | 1.2 | 25/6 | 1 817 980 |
| mesh3 | 0.06 | 1.2 | 25/6 | 3 041 276 |
图 2 原型T型管网格无关性验证结果Fig.2 Grid independence test results of the prototype T⁃junction |
