引言
1 实验部分
1.1 主要原材料
1.2 基本配方
表1 实验基本配方Table 1 Basic formula for the experiment |
| 配料 | 质量份数 | ||
|---|---|---|---|
| 不同IIR含量EPDM/IIR | 不同炭黑含量EPDM/IIR | 不同炭黑种类EPDM/IIR | |
| EPDM/IIR | 100/0、0/100、90/10、80/20、70/30、60/20、50/50 | 80/20 | 80/20 |
| N234 | 60 | 60、55、50、45、40、30 | |
| N234/N330/N550 | 45/0/0、0/45/0、0/0/45 | ||
1.3 主要仪器与设备
1.4 样品制备
1.5 测试与分析
1.5.1 静态力学性能测试
1.5.2 硫化性能测试
1.5.3 回弹性能测试
1.5.4 填料网络结构性能(RPA)分析
1.5.5 动态力学性能(DMA)分析
2 结果与讨论
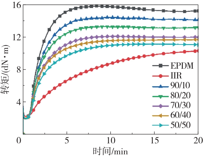
2.1 IIR对EPDM复合材料的结构与性能的影响
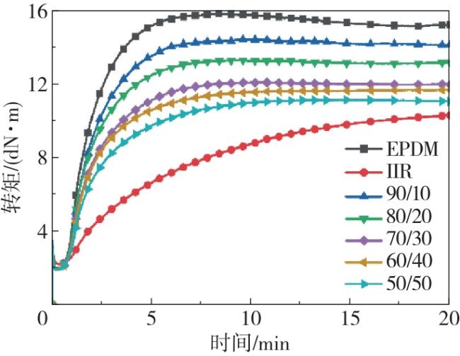
2.1.1 化学交联网络
表2 不同IIR含量EPDM/IIR复合材料的化学交联特性参数Table 2 Chemical crosslinking characteristic parameters of EPDM/IIR composites with different IIR contents |
| 配方 | t 10/ min | t 90/ min | M L/ (dN·m) | M H/ (dN·m) | M H-M L/(dN·m) |
|---|---|---|---|---|---|
| EPDM | 0.89 | 4.04 | 1.86 | 15.50 | 13.64 |
| IIR | 1.22 | 13.73 | 2.16 | 10.25 | 8.09 |
| 90/10 | 0.94 | 4.50 | 1.84 | 14.16 | 12.32 |
| 80/20 | 0.90 | 4.47 | 1.92 | 13.01 | 11.09 |
| 70/30 | 0.91 | 4.90 | 1.86 | 11.84 | 9.98 |
| 60/40 | 0.92 | 5.28 | 1.86 | 11.45 | 9.59 |
| 50/50 | 0.94 | 6.14 | 1.90 | 10.92 | 9.02 |
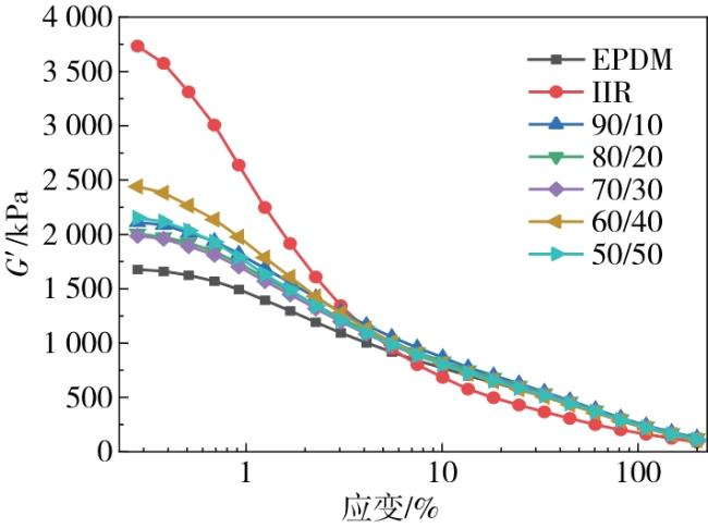
2.1.2 纳米填料网络
2.1.3 静态力学性能
表3 不同IIR含量的EPDM/IIR复合材料的力学性能Table 3 Mechanical properties of EPDM/IIR composites with different IIR contents |
| EPDM/IIR比例 | 拉伸强度/MPa | 100%定伸/MPa | 300%定伸/MPa | 断裂伸长率/% | 邵A 硬度 | 回弹/ % |
|---|---|---|---|---|---|---|
| EPDM | 22.5 | 4.6 | 16.2 | 427 | 76 | 40 |
| IIR | 15.2 | 1.5 | 4.2 | 757 | 65 | 11 |
| 90/10 | 21.6 | 4.1 | 14.3 | 451 | 78 | 37 |
| 80/20 | 19.2 | 4.1 | 14.2 | 414 | 78 | 35 |
| 70/30 | 17.8 | 3.8 | 11.6 | 466 | 77 | 31 |
| 60/40 | 16.7 | 3.4 | 10.3 | 486 | 76 | 28 |
| 50/50 | 15.4 | 3.2 | 9.2 | 480 | 76 | 24 |
2.1.4 阻尼性能
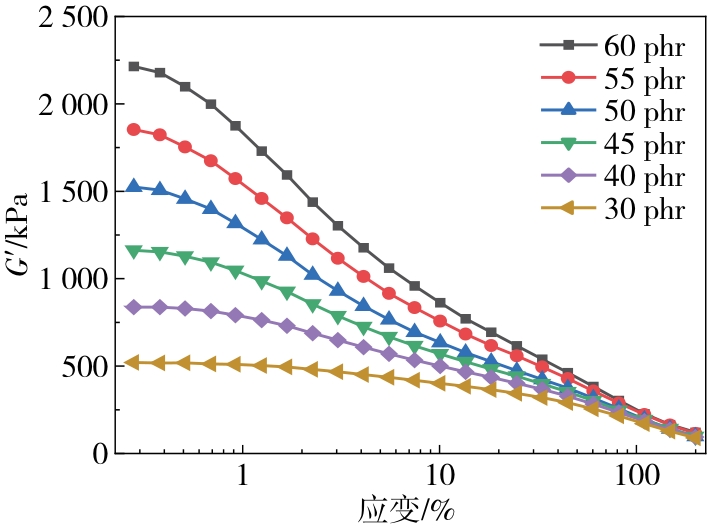
2.2 不同炭黑含量对EPDM/IIR复合材料结构与性能的影响
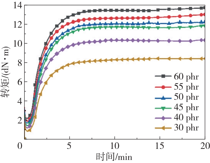
2.2.1 化学交联网络
表4 不同炭黑含量EPDM/IIR复合材料的化学交联特性参数Table 4 Chemical crosslinking characteristic parameters of EPDM/IIR composites with different carbon black contents |
| 配方 | t 10/ min | t 90/ min | M L/ (dN·m) | M H/ (dN·m) | M H-M L/(dN·m) |
|---|---|---|---|---|---|
| 60phr | 0.88 | 4.52 | 2.13 | 13.47 | 11.34 |
| 55phr | 0.94 | 4.52 | 1.84 | 12.79 | 10.95 |
| 50phr | 0.96 | 4.55 | 1.65 | 12.06 | 10.41 |
| 45phr | 0.97 | 4.48 | 1.40 | 11.66 | 10.26 |
| 40phr | 0.95 | 4.38 | 1.15 | 10.18 | 9.03 |
| 30phr | 0.98 | 4.62 | 0.80 | 8.27 | 7.47 |
phr为每百克基料的添加剂克数。 |
2.2.2 纳米填料网络
2.2.3 静态力学性能
表5 不同炭黑含量EPDM/IIR复合材料的力学性能Table 5 Mechanical properties of EPDM/IIR composites with different carbon black contents |
| 配方 | 拉伸强度/MPa | 100%定伸/MPa | 300%定伸/MPa | 断裂伸长率/% | 邵A硬度 | 回弹/ % |
|---|---|---|---|---|---|---|
| 60phr | 22.4 | 4.8 | 18.2 | 391 | 77 | 34 |
| 55phr | 21.5 | 4.3 | 15.3 | 449 | 75 | 34 |
| 50phr | 21.6 | 3.9 | 13.8 | 443 | 74 | 34 |
| 45phr | 21.4 | 3.4 | 11.9 | 464 | 72 | 35 |
| 40phr | 20.8 | 3 | 10.5 | 474 | 68 | 37 |
| 30phr | 19.7 | 2.3 | 7.8 | 502 | 61 | 42 |
phr为每百克基料的添加剂克数。 |
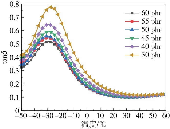
2.2.4 阻尼性能
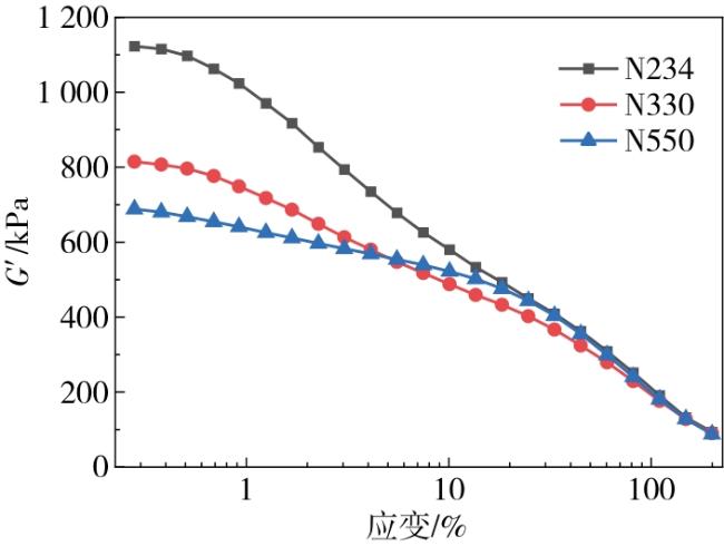
2.3 不同炭黑种类对EPDM/IIR复合材料结构与性能的影响
2.3.1 化学交联网络
表6 不同炭黑种类EPDM/IIR复合材料的化学交联特性参数Table 6 Chemical crosslinking characteristic parameters of EPDM/IIR composites of different carbon black types |
| 配方 | t 10/ min | t 90/ min | M L/ (dN·m) | M H/ (dN·m) | M H-M L/(dN·m) |
|---|---|---|---|---|---|
| N234 | 0.92 | 4.29 | 1.16 | 9.76 | 8.60 |
| N330 | 0.95 | 5.18 | 0.95 | 8.70 | 7.75 |
| N550 | 0.87 | 5.82 | 0.79 | 7.94 | 7.15 |
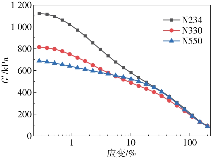
2.3.2 纳米填料网络
2.3.3 静态力学性能
表7 不同炭黑种类EPDM/IIR复合材料的力学性能Table 7 Mechanical properties of EPDM/IIR composites with different carbon black types |
| 配方 | 拉伸强度/MPa | 100%定伸/MPa | 300%定伸/MPa | 断裂伸长率/% | 邵A硬度 | 回弹/ % |
|---|---|---|---|---|---|---|
| N234 | 21.9 | 2.8 | 11.1 | 490 | 68 | 35 |
| N330 | 16.2 | 2.8 | 9.5 | 435 | 68 | 36 |
| N550 | 14.7 | 2.9 | 9 | 438 | 65 | 44 |
