引言
1 数值方法
1.1 几何模型
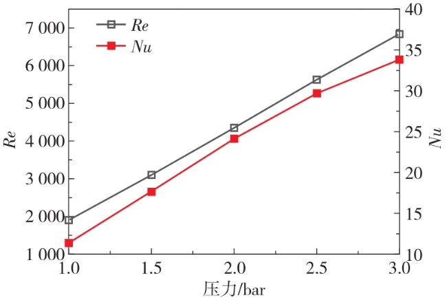
1.2 初始边界条件与湍流模型
表1 边界条件参数Table 1 Boundary condition parameters |
| 参数 | 数值范围 |
|---|---|
| 加热面热流/ (W·m-2) | 2 000 ~ 13 333 |
| 出入口压力/MPa | 0.1 ~ 0.3 |
| 入口蒸汽流速/(m·s-1) | 10 ~ 55 |
| 入口雷诺数Re in | 1 881 ~ 10 348 |
1.3 网格划分及无关性验证
2 数值模拟结果与分析
2.1 湍流模型优选
表2 不同RANS湍流模型与LES湍流模型结果的拟合度Table 2 Fitting degree of results between different RANS turbulence models and LES turbulence model |
| RANS湍流模型 | |
|---|---|
| Standard k⁃ε | 0.125 90 |
| Realizable k⁃ε | 0.125 85 |
| Standard k⁃ω | 0.093 63 |
| SST k⁃ω | 0.092 26 |
