引言
1 实验部分
1.1 实验原料和仪器
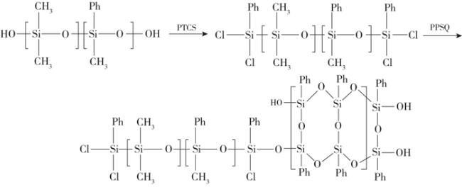
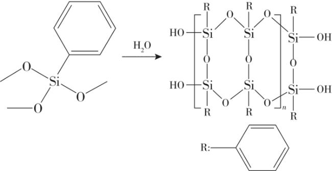
1.2 梯形聚苯基倍半硅氧烷的合成
1.3 梯形聚苯基倍半硅氧烷改性硅橡胶的制备
1.4 测试与表征
2 结果与讨论
2.1 梯形聚苯基倍半硅氧烷的表征结果
2.1.1 红外谱图
2.1.2 固体核磁硅谱图(29Si-NMR)
2.1.3 XRD谱图
2.1.4 GPC图谱
2.2 梯形聚苯基倍半硅氧烷改性RTV硅橡胶的断面形貌
2.3 梯形聚苯基倍半硅氧烷改性RTV硅橡胶的力学性能分析
表 2 梯形聚苯基倍半硅氧烷和正硅酸乙酯作为交联剂硅橡胶力学性能Table 2 Effect of ladder-like polyphenylsesquioxane and ethyl orthosilicate as crosslinking agents on the mechanical properties of silicone rubber |
| 交联剂 | 拉伸强度/MPa | 断裂伸长率/% |
| LPPSQ | 0.126 2 | 357.57 |
| TEOS | 0.330 3 | 146.63 |
2.4 梯形聚苯基倍半硅氧烷改性RTV硅橡胶的热稳定性能分析
表 3 梯形聚苯基倍半硅氧烷和正硅酸乙酯作为交联剂硅橡胶热稳定性能Table 3 Effect of ladder-like polyphenylsesquioxane and ethyl orthosilicate as crosslinking agents on thermal stability of silicone rubber |
| 交联剂 | T5%/℃ | T10%/℃ | Tmax/℃ | 残重/% |
| LPPSQ | 430.0 | 477.3 | 574.6 | 14.27 |
| TEOS | 327.7 | 339.1 | 350.5 | 9.16 |
