欢迎访问北京化工大学学报(自然科学版),今天是
Email Alert  RSS
材料科学与工程

气力分级粉体团聚表征及其影响因素的研究

  • 曹迎妮 1 ,
  • 李兴帅 1 ,
  • 焦志伟 1 ,
  • 刘家祥 2 ,
  • 杨卫民 1 ,
  • 于源 , 1, *
展开
  • 1. 北京化工大学 机电工程学院, 北京 100029
  • 2. 北京化工大学 材料电化学过程与技术北京市重点实验室, 北京 100029
于源,E-mail:

曹迎妮,女,1998年生,硕士生

收稿日期: 2023-10-26

  网络出版日期: 2024-06-01

基金资助

国家自然科学基金(52174234)

版权

版权所有,未经授权。

Powder agglomeration characterization of pneumatic classification and the factors influencing agglomeration

  • YingNi CAO 1 ,
  • XingShuai LI 1 ,
  • ZhiWei JIAO 1 ,
  • JiaXiang LIU 2 ,
  • WeiMin YANG 1 ,
  • Yuan YU , 1, *
Expand
  • 1. College of Mechanical and Electrical Engineering, Beijing University of Chemical Technology, Beijing 100029, China
  • 2. Beijing Key Laboratory of Materials Electrochemical Process and Technology, Beijing University of Chemical Technology, Beijing 100029, China

Received date: 2023-10-26

  Online published: 2024-06-01

Copyright

All rights reserved, without authorization

摘要

粉体团聚对气力分级设备的分级性能有着重要的影响,是制约机械法制备超细粉体的瓶颈问题。为表征气力分级制备超细粉体时的粉体团聚特性并分析其影响因素,利用筛分法和激光粒度分析法测得的粉体平均粒径比值,提出了团聚参数F,并以此为基础分析了粉体颗粒形貌、平均粒径、粒度分布以及粉体流动性对粉体团聚的影响。结果表明:当不同粉体之间的形貌(包括长扁度、球度、棱角度和粗糙度)差异不显著时,颗粒形貌不是引起粉体团聚有所差异的主要因素。粉体平均粒径越大,团聚程度越小;粒度分布指数对团聚的影响取决于粉体整体粗细程度,粗颗粒占比较高的情况下,颗粒不易团聚。因此,对于形貌相似的不同粉体而言,粉体平均粒径和粒度分布是影响粉体团聚的主要因素。此外,通过分析休止角和Hausner值发现,粉体流动性越差,团聚程度越强。

本文引用格式

曹迎妮 , 李兴帅 , 焦志伟 , 刘家祥 , 杨卫民 , 于源 . 气力分级粉体团聚表征及其影响因素的研究[J]. 北京化工大学学报(自然科学版), 2024 , 51(3) : 66 -75 . DOI: 10.13543/j.bhxbzr.2024.03.007

Abstract

Powder agglomeration has an major influence on the performance of pneumatic classification equipment. It is a bottleneck in the preparation of ultrafine powders by mechanical methods. In order to characterize powder agglomeration during pneumatic classification and analyze the factors which influence its extent, an agglomeration parameter F is proposed based on the ratio of the average particle size measured by the sieve method to that measured by the laser particle analyzer method. Based on the agglomeration parameter F, the effects of particle morphology, average particle size, the spread of particle size and powder fluidity on powder agglomeration were analyzed. The results show that when there is little difference in particle morphology between different powders, including long flatness, sphericity, angularity and roughness, the particle morphology is not the main factor influencing powder agglomeration. Larger average particle sizes result in less powder agglomeration. The effect of the spread of particle size on the powder agglomeration depends on the overall coarseness of the powder. If the percentage of coarse particles is high, the extent of particle agglomeration is relatively low. Therefore, for different powders with similar particle morphology, the average particle size and the spread of particle size are the main factors influencing powder agglomeration. In addition, analysis of the relationship between the angle of repose, the Hausner value and the agglomeration parameter shows that increased powder fluidity results in less powder agglomeration.

引言

粉体是由无数相对较小的颗粒及颗粒间的空隙所构成的集合体,粒度范围[1]在10-9~10-3 m。粉体颗粒粒径小、比表面积大,具有表面活性高、熔点低、易溶解等优异物理化学性质,因而在化工、建材、冶金、电子、医药、生物工程、陶瓷、农药、涂料、国防及尖端技术等领域得到了广泛的应用[2-5]。随着高新技术和新材料产业的发展,各行业对粉体的要求逐渐朝着粒径小且分布范围窄(即窄细化)的方向发展。然而,由于粉体颗粒微细化后具有极大的比表面积和较高的表面能,导致颗粒间的吸引力增大,细颗粒极易发生团聚形成二次颗粒,被收集为粗粉,降低分级性能。粉体团聚已成为气力分级制备超细粉体的瓶颈问题,引起广泛关注和高度重视。国内外研究学者主要通过改进设备结构[6-9]和优化操作参数的方法[10-15]来改善气力分级的分级性能。事实上,对粉体本身的团聚特性及其影响因素的探究是解决气力分级粉体团聚的根本前提,但相关研究鲜有报道。
粉体团聚是一个非常复杂的现象,其影响因素并不是单一的。首先,颗粒在做布朗运动时,会相互碰撞而形成团聚体。早在1918年,Smoluchowski[16]就用分析法推导出连续布朗运动条件下亚微米颗粒团聚的表达式。张俪安等[17]基于计算流体动力学-颗粒群平衡模型(computational fluid dynamics-population balance model,CFD-PBM)对粉尘颗粒的布朗团聚行为进行了数值模拟,结果表明当温度T=26.85℃,颗粒直径dp≥0.5 μm时,颗粒的布朗团聚效应可以忽略;其次,颗粒间相互作用力也是引起团聚的重要因素,其中范德华力、静电力、液桥力对粉体的团聚行为影响较大。Klahn等[18]综合考虑颗粒的范德华力、静电力、碰撞力和塑料颗粒变形,提出了可以根据颗粒的动力学参数准确预测颗粒是否团聚的算法。在干燥条件下,颗粒团聚主要是范德华力造成的[19]。梅芳等[20]基于范德华力和重力,定义了颗粒的临界团聚粒径,并给出了团聚概率的表达式;其次,通过化学反应生成的化学键作用也会引起团聚,且团聚体不容易被破坏。Han等[21]在湿式电除尘器中加入化学混凝剂黄原胶(XTG)和表面活性剂十二烷基三甲基氯化铵(DTAC)来促进高炉粉尘的团聚。Li等[22]将化学团聚剂喷射到湍流团聚室内使可吸入颗粒发生团聚,研究发现平均粒径从团聚前的2.8 μm增加到团聚后的10.0 μm以上。除此之外,粉体密度、粒径大小、粒度分布、颗粒形状、孔隙率和硬度等物理特性对团聚也有重要影响。唐洪波等[23]研究发现片状和针状结构原始颗粒组成的颗粒团强度很弱,而球形原始颗粒则容易形成结合紧密的颗粒团。再有,粉体成分组成及杂质也会影响颗粒的团聚情况,李小明等[24]通过分析杂质对钼精矿焙烧产物MoO3粉末团聚的影响发现,增大杂质含量对团聚现象影响较小,只有当杂质是CaO、CuO和K2CO3时,增大杂质含量会加强MoO3粉末的凝结和团聚。刘卓等[25]通过循环流化床燃烧高钠准东煤对底渣的表面和截面微观形貌、物相组分和化学成分进行分析,发现高炉渣具有作为替代性床料缓解床料颗粒聚团的潜力。由此可见,造成团聚的因素是多样的、复杂的,且常常是多因素共同作用的结果。
通常情况下,气力分级时粉体团聚主要指软团聚[26],即主要由范德华力、液桥力等颗粒之间的相互作用力引起的团聚,可通过机械方法打散并解团。通常粉体原料的杂质含量较小,分级前进行充分干燥处理,颗粒间不发生化学反应,故本文不考虑粉体成分组成和杂质、颗粒间的化学键作用、液桥力等因素的影响。为明晰气力分级制备超细粉体颗粒团聚特性及其影响因素,更好地解决粉体团聚与分散问题,提高分级性能,制备出窄细化粉体,本文主要针对粉体软团聚,通过筛分法和激光粒度分析法测得的粉体粒径比值定义团聚参数F来量化表征粉体团聚,在其基础上分别研究了粉体颗粒形貌、粒径大小、粒度分布以及粉体流动性对其团聚特性的影响规律,为分析气力分级制备超细粉体过程中的粉体团聚行为并提出解团措施提供新思路,并为分析粉体物性及团聚对制备超细粉体影响研究奠定基础。

1 团聚参数的建立

由于颗粒粒径小,所以单个颗粒的比表面积会迅速增大,颗粒自发地吸引聚集,以降低体系的自由焓。在对粉体进行筛分时,部分细颗粒黏附在大颗粒上或相互聚集形成团聚体未能筛分下去,导致各筛分层中存在许多假大颗粒(即团聚体),因此可以近似将筛网尺寸看作是包含团聚体的尺寸。超声波在液体中的“空化”作用对液体中的颗粒具有分散作用。激光粒度仪测量粒径前,粉体经过了超声分散作用,消除了颗粒间的软团聚,颗粒呈单分散状态,因此激光粒度仪测量的粒径认为是解团后单个颗粒的尺寸。以石英砂(SiO2)粉体为例,激光粒度仪测得粉体样品的体积累积分布曲线如图 1所示。
图 1 粉体体积累积分布曲线示意图

Fig. 1 Schematic diagram of powder volume cumulative distribution curves

本文定义团聚参数F为利用筛分法和激光粒度分析法测得的粉体平均粒径比值,如式(1)。
$F=\frac{d_{\mathrm{t}}}{d_{\mathrm{e}}}$
其中,当体积累积分数为50%时所对应的粒径即为中位径,将其定义为de,作为粉体单颗粒的平均粒径,μm;同样,根据筛分法获得的粉体样品的体积(质量)累积分布曲线,中位径记为dt,作为包含团聚体的粉体平均粒径,μm。包含团聚体的颗粒平均粒径与单个颗粒平均粒径的比值可以反映粉体的团聚程度[27]F值越大,说明团聚程度越强,如果团聚参数为1,则说明粉体完全没有团聚。

2 团聚参数的应用

2.1 不同粉体的团聚参数

选取两种不同的粉体,石英砂(SiO2)和碳酸钙(CaCO3)。采用X射线荧光光谱仪(岛津XRF-1800)测得样品的杂质含量均在5%以下;采用LT3600型激光粒度仪(珠海真理光学仪器有限公司)测量2种粉体的粒径,对同一粉体样本测试3次,得到粉体各粒径段体积累积分布平均值,如图 2所示。2种粉体置于DHG-9245A电热鼓风干燥箱(上海恒科学仪器有限公司)中充分干燥,再用SSB-86型顶击式振筛机(绍兴市上虞舜龙实验仪器厂)进行筛分,对同一粉体分别进行3次筛分实验,得到各粒径段体积累积分布平均值,如图 3所示。根据公式(1)分别计算SiO2和CaCO3的团聚参数,F(SiO2)=46.16/32.51=1.42;F(CaCO3)=82.70/22.29=3.71。F(CaCO3)>F(SiO2),说明CaCO3粉体的团聚程度更强。
图 2 激光粒度分析法SiO2和CaCO3粉体体积累积分布图

Fig. 2 The volume cumulative distribution of SiO2 and CaCO3 powders by laser particle analyzer method

图 3 筛分法SiO2和CaCO3粉体体积累积分布图

Fig. 3 The volume cumulative distribution of SiO2 and CaCO3 powders by sieve method

用MAIA3扫描电子显微镜(TESCAN泰思肯贸易有限公司)观测SiO2和CaCO3的微观形貌(如图 4所示)。从图 4(a)中可以看出,SiO2颗粒多以单颗粒的形式存在,只有几处细颗粒的黏结团聚情况(黄色圈内所示),图 4(b)中,CaCO3的细颗粒相互黏结聚集或黏附在大颗粒上(黄色圈内所示),几乎不存在单一颗粒的形式。对比SiO2和CaCO3的微观形貌图可以看出,CaCO3的团聚程度强于SiO2,这与团聚参数的计算结果一致。
图 4 SiO2和CaCO3粉体的微观形貌图

Fig. 4 The micromorphology of SiO2 and CaCO3 powders

2.2 不同粒度分布的同类粉体团聚参数

选用CaCO3为实验原料,并在DHG-9245A电热鼓风干燥箱中进行充分干燥,利用LHB/Y-10涡流空气分级机(潍坊正远粉体工程设备有限公司)对CaCO3原料进行分级处理,获得的粗粉产品记为粗碳酸钙(CaCO3-Rough)。利用激光粒度分析法分别测量CaCO3原料和CaCO3-Rough,各测量3次,得到CaCO3原料和CaCO3-Rough粉体各粒径段体积累积分布平均值,如图 5所示。由于CaCO3-Rough是对CaCO3原料分级后的粗粉产品,CaCO3-Rough相较于CaCO3,细颗粒含量较少,其体积累积分布曲线右移,平均粒径较大。用筛分法对CaCO3和CaCO3-Rough这2种粉体分别进行3次筛分实验,得到粉体各粒径段体积累积分布平均值如图 6所示。CaCO3-Rough相较于CaCO3,粉体粒度累积分布曲线左移,筛分得到的颗粒整体粒度分布小于CaCO3。这是由于CaCO3原料中含有的细颗粒加剧了颗粒团聚,使得筛分得到的粉体粒度增大。根据公式(1)分别计算CaCO3和CaCO3-Rough的团聚参数,F(CaCO3)=82.70/22.29=3.71;F(CaCO3-Rough)=66.46/25.55=2.60。F(CaCO3)>F(CaCO3-Rough),说明CaCO3原料团聚程度更强。这是由于CaCO3原料中含有微细粉体,细颗粒的数量多,导致单位空间内的颗粒相互接触的概率增大,粉体更容易发生团聚。
图 5 激光粒度分析法CaCO3和CaCO3-Rough粉体体积累积分布图

Fig. 5 The volume cumulative distribution of CaCO3 and CaCO3-Rough powders by laser particle analyzer method

图 6 筛分法CaCO3和CaCO3-Rough粉体体积累积分布图

Fig. 6 The volume cumulative distribution of CaCO3 and CaCO3-Rough powders by sieve method

3 物性参数对团聚的影响

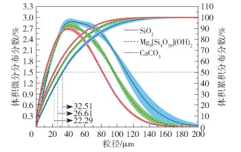
以石英砂(SiO2)、滑石粉(Mg3[Si4O10](OH)2) 和碳酸钙(CaCO3)3种粉体为研究对象,实验前对粉体进行充分干燥。利用激光粒度分析法分别测量3种粉体的粒度分布,各测量3次,可以得到3种粉体各粒径段体积累积分布和微分分布平均值及其标准差,如图 7所示,其中阴影部分表示标准差绘制的误差带。根据公式(1)计算粉体的团聚参数,可得SiO2、Mg3[Si4O10](OH)2和CaCO3的团聚参数F分别为1.42、3.24和3.71,其中CaCO3的团聚参数最大,说明CaCO3粉体的团聚程度最大,团聚程度由小到大排序:SiO2 < Mg3[Si4O10](OH)2 < CaCO3。由于粉体的物理性质不同,团聚特性会存在差异,以下将着重分析3种粉体的颗粒形貌、平均粒径和粒度分布以及粉体流动性对于粉体团聚特性的影响。
图 7 激光粒度分析法SiO2、Mg3[Si4O10](OH)2和CaCO3粉体体积微分分布和累积分布图

Fig. 7 The volume differential distribution and cumulative distribution of SiO2, Mg3[Si4O10](OH)2 and CaCO3 powders by laser particle analyzer method

3.1 颗粒形貌对团聚的影响

采用CX31型显微镜(奥林巴斯有限公司)在10x放大倍数下拍摄颗粒图像,选择不重叠的单个颗粒以避免图像分割引起的颗粒形貌误差,颗粒微观形貌如图 8所示。SiO2、Mg3[Si4O10](OH)2和CaCO3这3种粉体各选480个颗粒进行分析计算以便客观反映形貌。对颗粒微观形貌图进行图像处理并计算颗粒的形状指标[28]。计算的形状指标包括长扁度(Ac)、球度(S)、棱角度(Alg)和粗糙度(r),表达式如式(2)~(5)所示[29-30]
$\text { 长扁度: } A_{\mathrm{c}}=\frac{w}{l}$
$\text { 球度: } S=\frac{d_{\mathrm{M}}}{d_{\mathrm{S}}}$
$\text { 棱角度: } Alg=\frac{P_{\mathrm{C}}}{P_{\mathrm{E}}}$
$\text { 粗糙度: } r=\left(\frac{P}{P_{\mathrm{C}}}\right)^2$
图 8 SiO2、Mg3[Si4O10](OH)2和CaCO3粉体的颗粒微观形貌图

Fig. 8 The particle micromorphology of SiO2, Mg3[Si4O10](OH)2 and CaCO3 powders

其中,w表示最小外接矩形短边,μm;l表示最小外接矩形长边,μm;dM表示颗粒等效面积圆的半径,μm;dS表示颗粒最小外接圆半径,μm;PC表示颗粒最小外接多边形的周长,μm;PE表示颗粒面积等效椭圆的周长,μm;P表示颗粒轮廓周长,μm。
480个颗粒的形状指标分布情况如图 9所示,图中显示3种粉体的长扁度、球度、棱角度和粗糙度都比较接近,差异不大。为了量化4种形状指标的大小和离散程度,分别计算了均值和变异系数[31],如式(6)和(7)所示,变异系数越大,离散程度越大。
$\text { 均值: } \bar{x}=\frac{\sum\limits_{i=1}^n x_i}{n}$
$\text { 变异系数: } V_\sigma=\frac{\sigma}{\bar{x}} \times 100 \%=\frac{\sqrt{\frac{1}{n} \sum\limits_{i=1}^n\left(x_i-\bar{x}\right)^2}}{\bar{x}} \times 100 \%$
图 9 SiO2、Mg3[Si4O10](OH)2和CaCO3粉体的颗粒形貌指标分布图

Fig. 9 Particle morphology index distribution of SiO2, Mg3[Si4O10](OH)2 and CaCO3 powders

式中,σ表示总体标准差;xi表示样本数据;n表示样本总个数。
SiO2、Mg3[Si4O10](OH)2和CaCO3长扁度均值分别为0.750、0.751和0.745,变异系数分别为0.199、0.204和0.203;SiO2、Mg3[Si4O10](OH)2和CaCO3球度均值分别为0.780、0.781和0.790,变异系数分别为0.086、0.085和0.085;SiO2、Mg3[Si4O10](OH)2和CaCO3棱角度均值分别为1.037、1.041和1.026,变异系数分别为0.035、0.033和0.032;SiO2、Mg3[Si4O10](OH)2和CaCO3粗糙度均值分别为1.168、1.219和1.157,变异系数分别为0.033、0.092和0.054。分析可知,3种粉体形状指标的均值差异小,其离散程度较为一致。从图 8中也可以看出3种粉体的微观形貌较为相似,没有明显的特征差异。也就是说,对于SiO2、Mg3[Si4O10](OH)2和CaCO3这3种粉体而言,其形貌差异并不显著,这是因为3种粉体均是通过破碎、粉磨和筛分等机械法制备得到的,颗粒形状较为接近。因此这3种粉体颗粒形貌不是引起其团聚差异的主要因素。

3.2 平均粒径和粒度分布对团聚的影响

描述粉体粒度分布最为广泛的公式是Rosin-Rammler粒度分布函数[32-34],表达式如(8)所示。
$F(d)=1-\mathrm{e}^{-\left(\frac{d}{d_{63.2}}\right)^n}$
其中,F(d)表示粒径小于d的累积分布函数,d是粉体粒径,μm;d63.2是粉体累积分布F(d)=63.2%时所对应的粉体粒径,称为特征粒径,n是粒度分布指数,n越大,粒度分布越集中,n越小,粒度分布范围越大,粒度分布越分散[35]。式(8)中的d63.2n取值不同,粉体的累积分布函数F(d)就不同,为了便于计算n的值,对式(8)进行变换得到式(9),令y=ln{-ln[1-F(d)]},x=lnda=nx0=-lnd63.2,式(9)即可表达为式(10)的线性关系。
$\ln \{-\ln [1-F(d)]\}=n\left(\ln d-\ln d_{63.2}\right)$
$y=a\left(x+x_0\right)$
将激光粒度仪测得的粉体各粒径段体积累积分布平均值(如图 9所示)数据代入计算得到lnd和ln{-ln[1-F(d)]},并绘制散点图,进行线性回归,如图 10所示(以SiO2为例)。回归直线的相关系数的平方为R2=0.98,数据的拟合度较好,其线性回归关系为式(11)。
$y_{\mathrm{SiO}_2}=1.04(x-3.67)$
图 10 SiO2双对数坐标下Rosin-Rammler分布函数关系线

Fig. 10 The relationship lines of the Rosin-Rammler distribution function in double logarithmic coordinates for SiO2

根据式(11)可知,a=1.04,由n=a可得n=1.04。CaCO3和Mg3[Si4O10](OH)2这2种粉体的计算方式同上,其线性回归直线为式(12)和(13),R2分别为0.96和0.97,数据的拟合度较好。因此,CaCO3和Mg3[Si4O10](OH)2n分别为1.11和1.05。
$y_{\mathrm{CaCO}_3}=1.11(x-3.28)$
$y_{\mathrm{Mg}_3\left[\mathrm{Si}_4 \mathrm{O}_{10}\right](\mathrm{OH})_2}=1.05(x-3.44)$
3种粉体的平均粒径d50(中位径)和粒度分布指数n表 1所示。可以看出,粉体团聚程度与其平均粒径和粒度分布指数有关。SiO2平均粒径为32.51 μm,大于Mg3[Si4O10](OH)2和CaCO3粉体的平均粒径,颗粒团聚参数较小,团聚程度较弱。同时,SiO2粒度大的颗粒占比较高,粒度分布指数n(1.04)较小,其分布较分散,颗粒不易团聚。对于CaCO3粉体而言,其平均粒径为22.29 μm,粉体偏细,且粒度分布指数n(1.11)相对较大,说明其粒度分布比较集中,粒度较大的颗粒占比不高,颗粒易团聚,团聚参数较大。粉体平均粒径可以表征粉体整体的粗细程度。因此,粉体平均粒径大,粉体相对较粗,粉体团聚参数小,颗粒不易团聚。粉体粒度分布指数表征粉体分布的集中程度,该数值并非孤立于平均粒径,其对团聚的影响取决于粉体整体粗细程度,粗颗粒占比较高的情况下,颗粒不易团聚。
表 1 SiO2、Mg3[Si4O10](OH)2和CaCO3粉体的平均粒径d50和粒度分布指数n

Table 1 Powder average particle size d50 and the spread of particle size n of SiO2, Mg3[Si4O10](OH)2 and CaCO3 powders

粉体 平均粒径d50/μm 粒度分布指数n
SiO2 32.51 1.04
Mg3[Si4O10](OH)2 26.61 1.05
CaCO3 22.29 1.11

3.3 粉体流动性与团聚的关系

一般来说,粉体的可压缩性越高,粉体的流动性越差,团聚性越强[36-37]。粉体的可压缩性可用振实密度和松装密度之比表示,又称Hausner值(简称HR值),该数值也可表征粉体的流动性,该数值越大,流动性越差。其中,振实密度是指一定质量(或体积)的粉体装填在特定容器后,对容器进行一定强度的振动,从而破坏粉体颗粒间的空隙,使颗粒处于紧密状态的粉体密度,单位为g/cm3。松装密度是指粉体在特定容器中处于自然充满状态后的密度,单位为g/cm3。粉体的流动性还可用休止角表示,主要指粉体堆积层的自由表面在静平衡状态下,与水平面形成的角度,该数值越大,流动性越差。使用BT-1000型粉体综合特性测试仪(丹东百特仪器有限公司)测量CaCO3、Mg3[Si4O10](OH)2和SiO2这3种粉体的振实密度、松装密度和休止角,各物性参数测试3次后取平均值,测试结果如表 2所示。从表 2中可以看出3种粉体的流动性由好到坏依次为SiO2、Mg3[Si4O10](OH)2、CaCO3。休止角和团聚参数的关系以及Hausner值和团聚参数的关系如图 11。可以看出,团聚参数越大,休止角越大,Hausner值越大,粉体的流动性越差,团聚程度越强。这是因为休止角是由颗粒与颗粒之间的摩擦系数决定的[38],休止角越大说明颗粒间的摩擦系数越大,摩擦力越大,在微观上表现为颗粒间的相互作用力强,粉体团聚程度大。而Hausner值越大,颗粒间空隙大,可压缩程度高,意味着粉体颗粒的重排趋势较弱,颗粒间的相互作用力明显,团聚程度严重[36]
表 2 SiO2、Mg3[Si4O10](OH)2和CaCO3粉体的振实密度、松装密度、HR值和休止角实验数据

Table 2 Experimental data on vibrational density, bulk density, HR and angle of repose of SiO2, Mg3[Si4O10](OH)2 and CaCO3 powders

粉体 振实密度/(g·cm-3) 松装密度/(g·cm-3) HR值 休止角/(°)
SiO2 1.642 8 0.997 6 1.647 42.83
Mg3[Si4O10](OH)2 1.499 3 0.826 6 1.814 48.40
CaCO3 1.602 4 0.836 5 1.916 49.70
图 11 休止角、HR值与团聚参数的关系

Fig. 11 The relationship between the angle of repose, HR and agglomeration

4 结论

为探究粉体团聚特性及其影响因素以提升气力分级制备超细粉体的分级性能,本文根据筛分法和激光粒度分析法工作原理,提出团聚参数F来定量表征粉体的团聚程度,并分析了粉体颗粒形貌、平均粒径、粒度分布以及粉体流动性对颗粒团聚的影响规律,具体结论如下。
(1) 团聚参数F定义为筛分法和激光粒度分析法测得的粉体平均粒径比值,用来表征粉体的团聚程度,团聚参数越大,粉体的团聚程度越强。
(2) 分析长扁度、球度、棱角度和粗糙度4种形状指标可知,石英砂(SiO2)、滑石粉(Mg3[Si4O10](OH)2) 和碳酸钙(CaCO3)这3种粉体的形貌差异不显著,即这3种粉体颗粒形貌不是引起其团聚差异的主要因素。
(3) 采用Rosin-Rammler粒度分布函数求解颗粒的粒度分布指数,并分析了粉体平均粒径和粒度分布指数对团聚的影响。平均粒径越大,团聚参数越小,团聚程度越弱;粉体粒度分布指数表征粉体分布的集中程度,其对团聚的影响取决于粉体整体粗细程度,粗颗粒占比较高的情况下,颗粒不易团聚。
(4) 利用休止角和Hausner值分析流动性与团聚的关系可知,团聚参数越大,休止角越大,Hausner值越大,粉体的流动性越差,团聚程度越强。
1
盖国胜. 粉体工程[M]. 北京: 清华大学出版社, 2009.

GAI G S . Powder technology[M]. Beijing: Tsinghua University Press, 2009.

2
胡可, 杨世松, 邹黎明, 等. 粉末粒形对钨粉末注射成形喂料流变性能的影响[J]. 稀有金属材料与工程, 2020, 49 (10): 3472- 3478.

HU K , YANG S S , ZOU L M , et al. Effect of powder shape on rheological properties of tungsten feedstocks for metal powder injection molding[J]. Rare Metal Materials and Engineering, 2020, 49 (10): 3472- 3478.

3
吴震, 王利强, 徐立敏, 等. 细粉体圆锥料仓振动卸料特性[J]. 中国粉体技术, 2023, 29 (3): 117- 126.

WU Z , WANG L Q , XU L M , et al. Vibration unloading characteristics of fine powder cone silo[J]. China Powder Science and Technology, 2023, 29 (3): 117- 126.

4
姚田帅, 田青, 张苗, 等. 再生微粉泡沫保温材料的制备及性能研究[J]. 硅酸盐通报, 2023, 42 (1): 222- 230.

YAO T S , TIAN Q , ZHANG M , et al. Preparation and properties of foam insulation material with recycled powder[J]. Bulletin of the Chinese Ceramic Society, 2023, 42 (1): 222- 230.

5
CHU F Z , ZHANG K , SHEN H P , et al. Influence of satellite and agglomeration of powder on the processability of AlSi10Mg powder in laser powder bed fusion[J]. Journal of Materials Research and Technology, 2021, 11, 2059- 2073.

DOI

6
KIM M , CHA J , GO J S . Ring-shaped baffle effect on separation performance of lithium carbonate micro particles in a centrifugal classifier[J]. Micromachines, 2020, 11 (11): 980- 991.

DOI

7
任成, 刘家祥, 于源. 导风叶片对涡流空气分级机内流场的影响[J]. 化工进展, 2019, 38 (9): 3988- 3994.

REN C , LIU J X , YU Y . Effect of guide-vane on flow field in turbo air classifiers[J]. Chemical Industry and Engineering Progress, 2019, 38 (9): 3988- 3994.

8
YU Y , REN W J , LIU J X . A new volute design method for the turbo air classifier[J]. Powder Technology, 2019, 348, 65- 69.

DOI

9
RIM G , INES M , HATEM M , et al. CFD modeling and analysis of the fish-hook effect on the rotor separator's efficiency[J]. Powder Technology, 2014, 264, 149- 157.

DOI

10
ZENG Y , ZHANG S , ZHOU Y , et al. Numerical simulation of a flow field in a turbo air classifier and optimization of the process parameters[J]. Processes, 2020, 8 (2): 237.

DOI

11
冯乐乐, 吴玉新, 张海, 等. 转轮分离器风量和转速对叶片流道涡的影响[J]. 清华大学学报(自然科学版), 2020, 60 (6): 493- 499.

FENG L L , WU Y X , ZHANG H , et al. Effect of air flow rate and rotational speed on vortices between negighboring blades in turbo air classifiers[J]. Journal of Tsinghua University (Science and Technology), 2020, 60 (6): 493- 499.

12
孙占朋, 孙国刚, 刘庆刚, 等. 进气方式和气速对卧轮式分级机性能的影响[J]. 化工进展, 2019, 38 (9): 3956- 3961.

SUN Z P , SUN G G , LIU Q G , et al. Effects of air inlet type and velocity on classification performance of horizontal turbo air classifier[J]. Chemical Industry and Engineering Progress, 2019, 38 (9): 3956- 3961.

13
曾云, 吴文秀, 余丹逵. 基于颗粒轨迹的气流式分级机工艺参数优化[J]. 石油机械, 2018, 46 (11): 109- 115.

ZENG Y , WU W X , YU D K . Optimization of process parameters of air classifier based on particle trajectory[J]. China Petroleum Machinery, 2018, 46 (11): 109- 115.

14
BENEDIK K , CHRISTIAN S , STEFAN R , et al. Classifier performance during dynamic fine grinding in fluidized bed opposed jet mills[J]. Advanced Powder technology, 2019, 30 (8): 1678- 1686.

DOI

15
DENMUD N , BAITE K , PLOOKPHOL T , et al. Effects of operating parameters on the cut size of turbo air classifier for particle size classification of SAC305 lead-free solder powder[J]. Processes, 2019, 7 (7): 427.

DOI

16
SMOLUCHOWSKI M V . Versuch einer mathematischen theorie der koagulationskinetik kolloider losungen[J]. Zeitschrift Fur Physikalische Chemie, 1918, 92, 129- 168.

17
张俪安, 刁永发, 楚明浩, 等. 单纤维捕集过程中亚微米颗粒的布朗团聚[J]. 中国环境科学, 2021, 41 (4): 1548- 1554.

DOI

ZHANG L A , DIAO Y F , CHU M H , et al. Brownian aggregation in the process of submicron particles captured by single fiber[J]. China Environmental Science, 2021, 41 (4): 1548- 1554.

DOI

18
KLAHN E , GROSSHANS H . An accurate and efficient algorithm to model the agglomeration of macroscopic particles[J]. Journal of Computational Physics, 2020, 407, 109232.

DOI

19
蒋阳, 陶珍东. 粉体工程[M]. 武汉: 武汉理工大学出版社, 2008.

JIANG Y , TAO Z D . Powder technology[M]. Wuhan: Wuhan University of Technology Press, 2008.

20
梅芳, 张庆红, 陆厚根. 气流分级"鱼钩效应"的研究[J]. 硅酸盐学报, 1996, 24 (6): 10- 15.

MEI F , ZHANG Q H , LU H G . Study on the "fish-hook effect" in air classifiers[J]. Journal of the Chinese Ceramic Society, 1996, 24 (6): 10- 15.

21
HAN Y Y , XIAO L C , CHEN H R . Chemical agglomeration to enhance blast furnace dust capture efficiency in wet electrostatic precipitators[J]. Coatings, 2022, 12 (12): 1937.

DOI

22
LI R H , LI C B , ZHUANG J Y , et al. Mechanistic influence of chemical agglomeration agents on removal of inhalable particles from coal combustion[J]. ACS Omega, 2020, 5 (40): 25906- 25912.

DOI

23
唐洪波, 赵珺. 微细粉体在振动流化床中团聚行为的研究[J]. 化学工业与工程, 1996, 13 (3): 6- 10.

TANG H B , ZHAO J . The agglomerating behaviour of fine particles in a vibro-fluidized bed[J]. Chemical Industry and Engineering, 1996, 13 (3): 6- 10.

24
李小明, 翟钰华, 邹冲, 等. 钼精矿焙烧过程中杂质化合物对烧结行为的影响[J]. 中国有色金属学报, 2024, 34 (2): 1- 17.

LI X M , ZHAI Y H , ZOU C , et al. Effect of impurity compounds on sintering behavior of molybdenum concentrate during roasting process[J]. Transactions of Nonferrous Metals Society of China, 2024, 34 (2): 1- 17.

25
刘卓, 李建波, 龙潇飞, 等. 循环流化床燃烧高钠准东煤的床料颗粒聚团特性[J]. 中国电机工程学报, 2022, 42 (6): 2248- 2258.

LIU Z , LI J B , LONG X F , et al. Bed particle agglomeration in circulating fluidized bed burning high-sodium Zhundong coal[J]. Proceedings of the CSEE, 2022, 42 (6): 2248- 2258.

26
HU D D , ZHUANG J B , DING M L . A review of studies on the granular agglomeration mechanisms and anti-agglomeration methods[J]. Key Engineering Materials, 2012, 501, 515- 519.

27
迟卓男, 李懋强. 陶瓷粉末中团聚体结构表征的研究[J]. 无机材料学报, 1989, 4 (4): 330- 335.

CHI Z N , LI M Q . Study on characterization of agglomerate structure in ceramic powders[J]. Journal of Inorganic Materials, 1989, 4 (4): 330- 335.

28
LIU J J , CHENG D Q , LI Y L , et al. Quantitative evaluation of the influence of coal particle size distribution on gas diffusion coefficient by image processing method[J]. Fuel, 2022, 314, 122946.

29
陈建湟. 基于图像处理的岩土颗粒形态定量分析方法及应用[D]. 北京: 中国地质大学, 2021.

CHEN J H. Quantitative analysis method of rock and soil particle shape based on image processing and its application[D]. Beijing: China University of Geosciences, 2021. (in Chinese)

30
秦雪. 基于图像分析的集料形状特征与分布特征研究[D]. 青岛: 青岛理工大学, 2016.

QIN X. Research on shape characteristics and distribution characteristics of aggregate based on image analysis[D]. Qingdao: Qingdao University of Technology, 2016. (in Chinese)

31
罗良清, 魏和清. 统计学[M]. 北京: 中国财政经济出版社, 2011.

LUO L Q , WEI H Q . Statistics[M]. Beijing: China Financial and Economic Publishing House, 2011.

32
GONZALEZ-TELLO P , CAMACHO F , VICARIA J M , et al. A modified Nukiyama-Tanasawa distribution function and a Rosin-Rammler model for the particle-size-distribution analysis[J]. Powder Technology, 2008, 186 (3): 278- 281.

33
ZHANG G H , FAN Y B , YANG R S , et al. Application of the Rosin-Rammler function to describe quartz sandstone particle size distribution produced by high-pressure gas rapid unloading at different infiltration pressure[J]. Powder Technology, 2022, 412, 117982.

34
DUAN W J , LIU Z , LIU P T , et al. Estimation of acid-hydrolyzed cellulose fiber size distribution with exponential and Rosin-Rammler (R-R) laws[J]. Bioresources, 2018, 13 (4): 7792- 7804.

35
RAJ K , ARUN K J , SRIKANTH R G , et al. Study of the discharge behavior of Rosin-Rammler particle-size distributions from hopper by discrete element method: a systematic analysis of mass flow rate, segregation and velocity profiles[J]. Powder Technology, 2020, 360 (15): 818- 834.

36
宁玮杰. 改善超细干粉灭火剂流动性技术研究[D]. 南京: 南京理工大学, 2021.

NING W J. Technical research on improving the fluidity of ultrafine dry powder fire extinguishing agent[D]. Nanjing: Nanjing University of Science and Technology, 2021. (in Chinese)

37
刘英莉, 朱文超, 邹志云, 等. 超细粉体团聚性表征技术研究[J]. 中国粉体技术, 2020, 26 (6): 45- 50.

LIU Y L , ZHU W C , ZOU Z Y , et al. Research on agglomeration characterization technology of ultrafine powder[J]. China Powder Science and Technology, 2020, 26 (6): 45- 50.

38
王江涛, 于源, 刘家祥. 利用石英粉体休止角表征其团聚状态的研究[J]. 北京化工大学学报(自然科学版), 2012, 39 (5): 49- 52.

WANG J T , YU Y , LIU J X . Characterization of theagglomeration parameter by using the angle of repose of quartz powder[J]. Journal of Beijing University of Chemical Technology (Natural Science), 2012, 39 (5): 49- 52.

文章导航

/