引言
1 实验部分
1.1 实验原料和仪器
1.1.1 实验原料
1.1.2 实验仪器
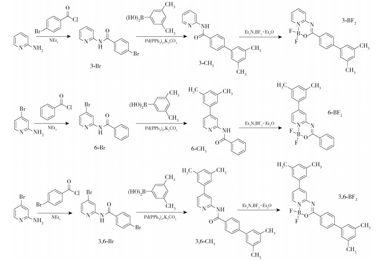
1.2 化合物的合成
1.2.1 4-溴-N-(吡啶-2-基)苯甲酰胺(3-Br)
1.2.2 3′, 5′-二甲基-N-(吡啶-2-基)-[1′1′-联苯]-4-甲酰胺(3-CH3)
1.2.3 3-(3′, 5′-二甲基-[1, 1′-联苯]-4-基)-1, 1-二氟-1H-1λ4, 9λ4-吡啶并[1, 2-c][1, 3, 5, 2]氧二氮杂硼啉(3-BF2)
1.2.4 N-(4-溴吡啶-2-基)苯甲酰胺(6-Br)
1.2.5 N-(4-(3, 5-二甲基苯基)吡啶-2-基)苯甲酰胺(6-CH3)
1.2.6 6-(3, 5-二甲基苯基)-1, 1-二氟-3-苯基-1H-1λ4, 9λ4-吡啶并[1, 2-c][1, 3, 5, 2]氧二氮杂硼啉(6-BF2)
1.2.7 4-溴-N-(4-溴吡啶-2-基)苯甲酰胺(3, 6-Br)
1.2.8 N-(4-(3, 5-二甲基苯基)吡啶-2-基)-3′, 5′-二甲基-[1, 1′-联苯]-4-甲酰胺(3, 6-CH3)
1.2.9 3-(3′, 5′-二甲基-[1, 1′-联苯]-4-基)-6-(3, 5-二甲基苯基)-1, 1-二氟-1H-1λ4, 9λ4-吡啶并[1, 2-c][1, 3, 5, 2]氧二氮杂硼啉(3, 6-BF2)
2 结果与讨论
2.1 核磁共振氢谱和红外光谱
2.2 紫外-可见吸收光谱和荧光发射光谱
图 6 3种二氟硼化合物在不同极性溶剂中的紫外-可见吸收光谱Fig. 6 UV-Vis absorption spectra of three difluoroboron compounds in organic solvents with different polarities |
图 7 3种二氟硼化合物在不同极性溶剂中的荧光发射光谱(λex=350 nm)Fig. 7 Fluorescence emission spectra of three difluoroboron compounds in organic solvents with different polarities (λex=350 nm) |
表 1 3种二氟硼化合物在不同极性溶剂中的光谱数据Table 1 Spectroscopic data of three difluoroboron compounds in organic solvents with different polarities |
| 化合物 | 有机溶剂 | λmaxa)/nm | εb)/(105 L·mol-1·cm-1) | λemc)/nm | |||
| 峰1 | 峰2 | 峰1 | 峰2 | ||||
| 3-BF2 | 正己烷 | 288 | 347 | 0.341 | 0.063 | 398 | |
| 二氯甲烷 | 290 | 347 | 0.314 | 0.052 | 409 | ||
| 乙腈 | 289 | 338 | 0.338 | 0.058 | 408 | ||
| 6-BF2 | 正己烷 | 272 | 341 | 1.674 | 1.419 | 415 | |
| 二氯甲烷 | 271 | 341 | 1.181 | 1.160 | 458 | ||
| 乙腈 | 270 | 340 | 1.271 | 1.288 | 479 | ||
| 3, 6-BF2 | 正己烷 | 285 | 354 | 0.750 | 1.107 | 407 | |
| 二氯甲烷 | 289 | 356 | 0.853 | 1.348 | 414 | ||
| 乙腈 | 287 | 353 | 0.688 | 1.077 | 417 | ||
a—紫外最大吸收波长,b—摩尔消光系数,c—荧光最大发射波长。 |
2.3 分子模拟
图 8 基于分子模拟的3种二氟硼化合物在基态和激发态时的HOMO与LUMO能级的电子密度分布Fig. 8 Electron density distribution of the HOMO and LUMO energy levels in the ground and excited states of three difluoroboron compounds based on molecular simulation |
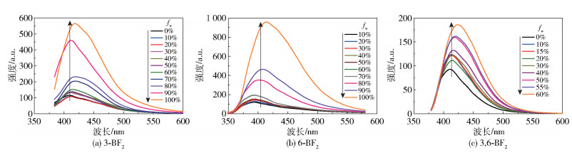
2.4 AIE性能
2.5 MFC性能
图 11 3种二氟硼化合物在不同处理方式下的荧光发射光谱(λex=365 nm)Fig. 11 Fluorescence emission spectra of three difluoroboron compounds under different treatment methods (λex=365 nm) |
表 2 3种二氟硼化合物在不同处理方式下的荧光发射波长Table 2 Fluorescence emission wavelengths of three difluoroboron compounds under different treatment methods |
| 化合物 | 荧光发射波长/nm | ||
| 研磨前 | 研磨后 | 熏蒸后 | |
| 3-BF2 | 438 | 441 | 438 |
| 6-BF2 | 442 | 458 | 444 |
| 3, 6-BF2 | 459 | 456 | 460 |
